環氧樹脂的環氧基和(甲基)丙烯酸開環酯化后生成的(甲基)丙烯酸環氧酯又稱為乙烯樹脂。它既保持了環氧樹脂固化收縮率低、耐化學品性、電絕緣性能優異的特點又能如不飽和聚酯那樣可以在過氧化物引發下室溫固化。另一難能可貴的性能是能在紫外線輻射下快速光固化。 從理論上來看任何環氧樹脂都可以制成(甲基)丙烯酸環氧酯,但目前有工業應用價值是雙酚A型,熱塑性酚醛型、脂環型三大類。 一、(甲基)丙烯酸環氧酯合成路線
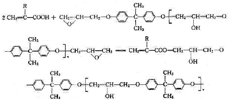
(一)(甲基)丙烯酸和環氧樹脂直接酯化反應
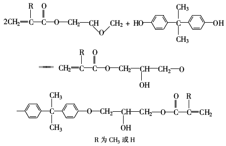
(二)(甲基)丙烯酸縮水甘油酯和雙酚A反應
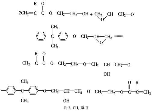
這條合成路線是制備高純度低分子量(甲基)丙烯酸環氧酯的方法。 (三)(甲基)丙烯酯羥乙(丙)酯和環氧樹脂的醚化反應
這條合成路線是制備韌性樹脂的方法。 以上3條合成路線以第一條合成路線最為簡便和經濟,因此工業生產主要采用這種方法。 二、酯化反應催化劑及反應動力學 (甲基)丙烯酸和環氧樹脂反應人們熟知的催化劑為叔胺,如芐基二甲胺,但這類催化劑除了能對環氧基和羧酸起催化作用外,同時還能催化環氧樹脂開環自聚反應,因此催化選擇性差得到的酯化產物貯存不穩定,使(甲基)丙烯酸環氧酯的制造和應用都受到了限制。曹萬榮,高俊應等人對兩種催化劑的效果及反應動力學進行了研究。 (一)有機金屬絡合物的催化作用 (1)催化劑的合成[二(2,4-戊二酮基)合鉻]2,4-戊二酮與氯化鉻以2:1(摩爾比)配成水溶液,在40~80℃下反應1h,反應中保持體系pH值5~7。得到的結晶狀粗品用去離子水洗滌2次后,結晶體在石油醚中重結晶,精品在60~70℃真空干燥1h,得到紫紅色片狀結晶的Cr(AcAc)3,得率為86%。將Cr(AcAc)3作元素分析結果見表3-26。
(2)丙烯酸環氧酯合成實驗在裝置有電動攪拌、溫度計和冷凝器的三口瓶中將環氧樹脂與丙烯酸按摩爾比1:1(全酯化)或2:1(半酯化)投入,再加入表3-27所列出的催化劑及少量阻聚劑(如對苯二酚),加熱到反應溫度;定時抽樣用NaOH-乙醇標準溶液測定酸值,計算出丙烯酸轉化率。詳見表3-27。 從表3-27可以看出酯化反應在無催化劑存在下反應,即使在120℃下進行了3.5h,轉化率僅為44.9%。Cr(AcAc)3比芐基二甲胺有更好的催化效果,對于酯化反應較困難的甲基丙烯酸與溴化雙酚A環氧樹脂的催化效果還是很好的。用0.1%~0.2%(質量分數)的Cr(AcAc)3在120℃反應3.5h轉化率就達到了95%以上。
(3)反應機理探討從丙烯酸與E-44環氧樹脂等摩爾酯化反應的丙烯酸轉化率(P)與反應時間(f)關系曲線中(見圖3-12),我們看到了一個有意義的結果,在轉化率低于50%的反應前期P-t呈線性關系,即酯化反應為速度與反應物濃度無關的零級反應,推測催化酯化反應按如下機理進行:
Cr(AcAc)3表現Lewis酸的性質,首先以某種形式與丙烯酸形成絡合物(Ⅰ)[反應式(3-1)]。(Ⅰ)的質子進攻環氧樹脂中的環氧基進行親電加成[反應式(3-2)]。加成物(Ⅱ)因戊二酮基對鉻離子的絡合及其中CH2=CH-COO-的存在而傾向于形成酯化產物(Ⅲ)[反應式(3-3)]。 反應前期,由于環氧基活性較高,濃度大,絡合物(Ⅰ)表現很高的開環活性。一旦生成就立即被反應掉,可以認為反應期間[Ⅰ]≈0。由于丙烯酸濃度相對于催化劑濃度為大大過量,[Ⅰ]的濃度又很低,反應體系中Cr(AcAc)3將被及時轉化。其濃度相對于初始濃度[Cr(AcAc)3]0,及[Ⅱ]的濃度為很小,可以認為:
于是酯化產物的生成速率
因此,在Cr(AcAc)3催化下的丙烯酸與環氧樹脂的酯化反應在轉化率低于50%時表現零級反應的性質。 大多數環氧樹脂分子中含有兩個環氧基。第一個環氧基參與酯化后;另一個環氧基的活性因位阻等因素的影響而降低,變得不那么容易受(Ⅰ)進攻而打開。這時環氧基濃度的變化就會通過影響反應式(3-3)來抑制產物(Ⅲ)的生成速率;另外,到了反應末期丙烯酸的濃度已經降到不能認為充分大,從而將影響到反應式(3-2);同樣,反應末期不充分高的環氧基濃度也成了影響(Ⅰ)及時轉化的一個因素。[Cr(AcAc)3]及[Ⅰ]越來越不能忽略,因此,到了反應后期酯化速率將受到反應物濃度變化的影響,反應不再是零級反應,P-f自然不再呈線性。 (二)季銨鹽的催化作用及反應動力學 (1)丙烯酸與四溴雙酚A環氧樹脂酯化反應轉化率的測定在裝有電動攪拌、回流冷凝器、溫度計的四口燒瓶中,加入12.05g四溴雙酚A環氧樹脂(環氧值為0.136mol/100g),12.05g二甲苯使之溶解再加入3%的四丁基溴化銨,升溫到90℃加入1.134ml甲基丙烯酸(與環氧基等摩爾比),定時取樣1ml溶于5ml丙酮中,用0.1mol/L KOH標準溶液進行電位滴定求出P/f關系(見圖3-13)及作出ln(c0/c)對反應時間t的圖,見圖3-14。
c0為MAA起始濃度;c為t時的MAA濃度。 從圖3-14可以看出,α-甲基丙烯酸與環氧基的加成反應對甲基丙烯酸來說是一級反應。為此我們可以推斷反應是以下歷程進行的:
如果羥基負離子與環氧基的反應以及氧負離子得到質子形成羥基的速度是非??斓?,且反應式(3-6)、反應式(3-7)是處在穩態,即
式中[COOH]為體系羥基的濃度,
這就是說反應對甲基丙烯酸來說是一級反應。表3-28是在幾個不同溫度下該反應的反應速率常數和丙烯酸與雙酚A型環氧樹脂的反應速率常數。
從表3-28可以看出,在相同溫度下雙酚A型環氧樹脂與丙烯酸的反應速率常數比四溴雙酚A 型環氧樹脂與甲基丙烯酸的反應速率常數高5~8倍之多,且前者的速率常數對溫度的依賴性較小。這里不僅是酸分子中甲基的影響,更主要的是四溴雙酚A分子上的溴原子空間位阻的影響,這也是四溴雙酚A與環氧氯丙烷反應速率較慢及高分子量的環氧樹脂難于合成的原因。 (2)催化劑對反應的影響從前面的動力學討論可以看出四溴雙酚A型環氧樹脂與丙烯酸的反應速率是比較慢的,要加快反應單從提高反應溫度效果不會太好,比較好的方法是選擇合適的催化劑。圖3-15、圖3-16是不同催化劑及不同催化劑用量對反應速率影響。
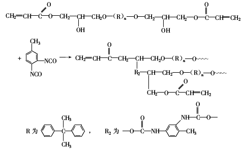
由圖3-15、圖3-16可以看出加入催化劑與不加催化劑在反應速率上有相當大的差異,其中四丁基溴化胺的催化劑效果最好。當加入這種催化劑后,反應2h,甲基丙烯酸的轉化率可超過80%,而不加催化劑的轉化率不足30%。通過紅外光譜分析可以證明,反應初期環氧基在910cm-1處有一個明顯的吸收峰,而在110℃反應3h后這一峰就完全消失。這所報道的用叔胺作為催化劑在140~150℃反應,反應溫度可降低30~40℃,且由于反應溫度降低,減少了脫溴反應,提高了產品質量。 從催化劑用量來說,催化劑用量增加反應速度加快,但一般用最為0.5%~1%也就 可以了。 三、(甲基)丙烯酸環氧酯的改性 欲制得性能不同的(甲基)丙烯酸環氧酯,方法之一是選用不同類型的環氧樹脂為基材,但在來源最廣、價格最廉的雙酚A型環氧樹脂的基礎上,通過各種改性手段制取改性(甲基)丙烯酸環氧酯更為化學家提供了發揮分子設計才能的舞臺。 改性的方法可以是制成(甲基)丙烯酸環氧酯后,利用環氧基開環派生出的2個仲羥基進行反應。還有一種改性方法是采用不同結構的多元酸或酸酐和(甲基)丙烯酸共酯化,或預酯化后再和(甲基)丙烯酸反應。 左郁芹在已制成的(甲基)丙烯酸樹脂的基礎上,研究了甲苯二異氰酸酯(TDI)和仲羥基的化學反應,評價了基團含量與耐腐蝕性、耐熱性之間的關系。
(甲基)丙烯酸環氧酯與TDI的反應如下式: 這種用TDI改性后的樹脂和不飽和聚酯一樣加入30%(質量分數)的苯乙烯成為樹脂溶液,改性前后樹脂基團含量變化見表3-29。 從結構式和表3-28中不難看出:TDI改性后的丙烯酸環氧酯含有更多的苯環結構。因此也具有較高的不飽和雙鍵,該樹脂交聯固化后,可形成堅韌、密實的網狀結構,賦予固化產物更好的耐熱性和機械強度。
TDI改性后的樹脂還引進了一定數量的氨酯鍵( 體積龐大的苯環結構多分布在酯鍵附近,對酯鍵起到了屏蔽作用,提高了耐化學品性。 采用不飽和酸酐、飽和長碳鏈二元酸、取代部分(甲基)丙烯酸以制取不同的改性樹脂。根據目的可選擇以下幾種酸酐或二元酸(見表3-30),單獨或共酯化。
|

































