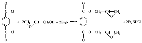
三、縮水甘油酯型環氧樹脂 由多元酸或酸酐和環氧氯丙烷或環氧丙醇經縮聚反應而制得的。 (一)對苯二甲酸二縮水甘油酯 對苯二甲酸二縮水甘油酯是以對苯二甲酸為原料,由三步合成的。 (1)環氧丙醇的制備:
(2)對苯二甲酰氯的制備: (3)對苯二甲酰氯與環氧丙醇合成對苯二甲酸二縮水甘油酯:
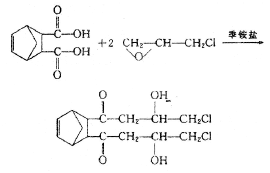
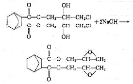
對苯二甲酸二縮水甘油酯的固化產物在+120~-180℃都有優異的粘結強度,可滿足國防和宇航業的特殊需要。 (二)內次甲基四氫鄰苯二甲酸二縮水甘油酯 內次甲基四氫鄰苯二甲酸二縮水甘油酯(以下簡稱為NAG環氧),它是以NA酸酐為原料經以下步驟制得。 (1)NA酸酐水解: (2)NA酸和環氧氯丙烷加成反應: (3)加成物環化反應: NAG環氧樹脂的典型性能: 外觀 黃色液體 環氧值/mol·(100g)-1 0.570 碘值/mgl·g-1 81.8 可水解氯含量/%(質量分數) 1.25 揮發分/% 0.18 密度(25℃)/g·cm-3 1.263 折光率(25℃) 1.5032 黏度/Pa·s(25℃) 1.16 (40℃) 0.27 (60℃) 0.069 NAG環氧樹脂另一特點是黏度低對增強纖維的浸潤性很好,25℃時的黏度僅是雙酚A型環氧樹脂的1/10。 NAG環氧樹脂澆鑄料的組成及固化條件見表2-5,其性能見表2-6及表2-7。
從表2-6中可以看出NAG樹脂所有的澆鑄料都有良好的機械強度和耐熱性,特別是以低共熔混合芳香胺固化體系綜合性能為優越,并具有良好的介電性能和耐電弧性。 從表2-7中可以看到MAG-EM1,2,4體系的澆鑄件浸泡后質量變化均達百分之幾的數值,這可能是由于樹脂中含有一定的氯代醇(可水解氯)妨礙了陰離子聚合而引起的。除了NAG-低共熔混合芳香胺體系澆鑄料在30%硫酸(質量分數)中浸泡表面發黏外NAG固化物和E-51雙酚A 環氧樹脂一樣具有良好的耐化學品性。值得注意的是NAG澆鑄料均有良好的耐丙酮性,浸泡7 晝夜后不僅外觀無變化而質量變化也小,為制造特定耐化學品涂料和貯罐的應用提供了依據。 其他縮水甘油酯類樹脂典型技術指標見表2-8。
|









