酚醛樹脂具有優異的熱穩定性,但是固化時需加熱、加壓,反應有副產物水產出,因此存在著氣泡殘留,有固化體積收縮大的弊病,再加上酚醛樹脂耐堿性差,限制了它的應用面。雙酚A型環氧樹脂可在常壓下室溫固化,體積收縮小而且既耐酸,又耐堿,但是熱穩定性較差。以線型酚醛為聚合物骨架進行環氧化生成的酚醛環氧樹脂兼備了酚醛樹脂的高熱穩定性及環氧樹脂的高反應性。 雙酚A型環氧樹脂每個分子只具有2個環氧基,而酚醛環氧樹脂每個分子平均具有3.6個環氧基,因此固化后可達到高交聯密度,所以在耐熱性、機械強度、耐化學品性能上均優于雙酚A型環氧樹脂。 線型酚醛環氧樹脂的合成需經過兩大反應步驟。即先合成線型酚醛樹脂(稱novolak樹脂),再經環氧化最后生成所需的產品。
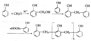
一、線型酚醛樹脂的合成 線型酚醛樹脂是由苯酚和甲醛在酸性催化劑存在下經過縮聚反應耐而生成的熱塑性樹脂,其聚合度在5左右,分子量在700左右的樹脂最適宜于制造粉末涂料用。決定樹脂分子量的關鍵是苯酚與甲醛的摩爾比以及所用的催化劑。其分子量和苯酚、甲醛摩爾比的關系見圖2-1,苯酚用量增加則會使樹脂分子量下降。在縮聚反應中催化劑的酸、堿性對反應歷程有很大的影響,在酸性催化劑存在下苯酚和甲醛所生成的羥甲基苯酚很不穩定,彼此之間與苯酚很快地發生縮聚反應,生成的聚合鏈中不存在羥甲基苯酚的線型聚合物。酸性催化劑常用的是硫酸、鹽酸、草酸,從催化的能力來看硫酸最強,鹽酸次之,最弱為草酸,但是以對色澤的影響來看則相反,用草酸作催化劑所制得的樹脂其色澤最淺。 線型酚醛樹脂的反應歷程可用下式表示:
線型酚醛樹脂工藝流程見圖2-2。
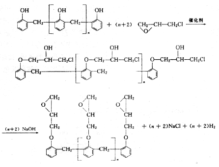
工藝過程。將配方量的苯酚、水加入反應釜中,在攪拌下使之溶解。再加入催化劑,升溫到70℃左右,滴加甲醛,溫度保持不超過75℃,約2h內加完,再在75~80℃維持4h。反應完畢后用溫水洗至中性,分去水分。通入水蒸氣,蒸去過量的苯酚,最后脫去水分,得到酚醛樹脂。 二、環氧化反應 線型酚醛樹脂和過量的環氧氯丙烷在催化劑和氫氧化鈉的存在下,經過醚化和環氧化反應,再去除水和氯化鈉,即可得到線型酚醛環氧樹脂。 環氧化反應工藝流程見圖2-3。 |




