一般環氧樹脂都是有碳、氫、氧、氮4種元素構成的。當在樹脂的主鏈上引進硅、鈦、氟、磷等元素后,這種環氧樹脂在耐熱、電絕緣、抗水、阻燃性能上還有很大的變化。 一、有機鈦環氧樹脂 有機鈦環氧樹脂是元素環氧樹脂之一,它是用正鈦酸丁酯和二酚基丙烷環氧樹脂中的羥基基團進行反應而得到的一種新型環氧樹脂。 (一)合成路線 采用6101環氧樹脂和正鈦酸丁酯在加熱情況下,使樹脂中的羥基和正鈦酸丁酯中的丁氧基起反應生成丁醇,導致環氧樹脂通過Ti-O氧橋和鈦連接在一起。
(二)生產工藝 (1)原料配方
(2)生產過程 將6101環氧樹脂投入反應釜中,升溫攪拌,升溫到100~110℃進行真空脫水,真空度要求在0.09MPa以上。這一步操作主要是排除水分對正鈦酸丁酯的影響,有水分存在可使正鈦酸丁酯水解:
其他幾個丁氧基也會產生類似的反應,因此,必須把水分排除干凈。水分排完后,冷卻至55~60℃,將配方量的苯加入,繼續冷卻,冷卻至40~45℃時滴加正鈦酸丁酯苯溶液,約在20~30min加完。加完后在原溫度維持15min,逐漸升溫至120~130℃,將苯和副產物丁醇一起蒸出,隨后用真空泵將所有低沸物全部蒸出,冷卻后放料。 二、性能和用途 二酚基丙烷環氧樹脂分子中存在著羥基,雖然羥基基團的存在對環氧樹脂的粘合性能是起一定作用的,但是固化反應后殘余下來的羥基(事實上也不可能使樹脂中所有的羥基全部去除)在高溫下是不穩定的,加上羥基基團是親水性的,容易吸水,往往是造成固化后的環氧樹脂吸水率增大、防潮性電氣性能下降、熱老化性能差的一個主要原因。用有機鈦來改性二酚基丙烷環氧樹脂使它在這方面性能有了根本的改善。首先是高溫下介質損耗角大幅度減小,其次是樹脂的熱穩定性有了很大提高。這些可從表3-19說明。
從表3-19及圖3-11中我們可以清楚地看到為數不多的鈦交聯鍵對于二酚基丙烷環氧樹脂性能作出了很大的改進。 由于有機鈦環氧樹脂有較好的電性能、耐熱性和黏合性,因而廣泛地使用于電氣、電機工業。作為粉(片)狀云母的黏合劑的產品現今在大容量發電機的繞組絕緣上大量使用,它不但提高了絕緣層的電氣性,并且對電機的壽命及運行的可靠性作了決定性的保證。 該樹脂在上海地區已投入生產,牌號是670環氧樹脂。 三、有機硅環氧樹脂 凡帶有環氧基( 這類產品是指在改進環氧樹脂的防潮、耐水、耐熱、電氣等性能而發展起來的。由于有機硅和環氧樹脂兩者的結合發揮了各自的特點又相互彌補了各自的缺陷,因此這一產品得到普遍的重視,發展很快,品種極多。根據其用途的不同可以分作粘合、涂覆、層壓、泡沫塑料等品種,環氧基硅油、纖維處理劑、消泡劑、潤滑劑等,用這些產品為國防工業、航天、航空工業提供了極好的材料。其合成路線如下。 (1)以二酚基丙烷環氧樹脂與含有甲氧基、乙氧基、羥基的低分子量聚硅氧烷在催化劑存在下縮合制得有機硅環氧樹脂。反應可按以下幾種方式進行。
聚硅氧烷上的羥基和環氧樹脂中的羥基起脫水反應。
聚硅氧烷上的羥基與環氧樹脂中的環氧基起開環反應。 聚硅氧烷上的烷氧基與環氧樹脂中的羥基起脫烷基醇的反應。
(2)以環氧丙醇與聚硅氧烷中的烷氧基起脫醇反應制得有機硅環氧樹脂。
(3)以環氧丙烷丙烯醚與聚硅氧烷中的活潑氫起加成反應制得有機硅環氧樹脂。
(4)用過氧化物氧化聚硅氧烷上的不飽和雙鍵而得到有機硅環氧樹脂。
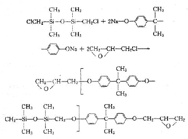
(5)用二酚基丙烷的鈉鹽、環氧氯丙烷與帶有烷基鹵的聚硅氧烷反應,制得有機硅環氧樹脂。
(一)665有機硅環氧樹脂 目前采用比較普遍的是第一條路線,現將665有機硅環氧樹脂的合成工藝路線、樹脂的性能及應用分述如下。 (1)含有羥基、烷氧基的低分子量聚硅氧烷(以下簡稱為硅醇)的制造按照不同的要求選擇苯基含量、硅原子和有機基團的比值而決定不同烷基、芳基氯硅烷之間的比例。將這些不同官能團的氯硅烷混合溶解于甲苯中放置高位槽內。把配方量的水和甲醇(或乙醇)投入反應釜中攪拌溶解,控制在20℃左右,開始滴加高位槽中的氯硅烷甲苯溶液,在3~5h內加完。再在25℃左右維持1h,隨后靜止讓料液自動分層,上層是所需要的產品稱作硅醇甲苯液,下層是副產物鹽酸。分去下層鹽酸,將硅醇甲苯液用水洗到中性為止,過濾去除高聚物和雜質,進行濃縮,脫去水分和部分甲苯(因為水的長期存在影響硅醇的穩定性)。使硅醇的含量達到50%(質量分數)左右為濃縮完畢,濃縮時必須用真空,溫度不能超過80℃,否則會引起硅醇的聚合而影響產品的質量。 (2)硅醇與環氧樹脂的縮合將上述制得的濃縮硅醇和一定比例的含羥基的環氧樹脂、催化劑(如芳香族酸,或者羧酸的Co, 鹽、Zn鹽、ln鹽、Ce鹽)進行加熱縮合,溫度控制在160~180℃,不斷用真空排除副產物水和醇,用測定膠化的方法來控制樹脂的聚合度,到達控制終點,冷卻停止縮合反應,如果產品分子量大可以加入甲苯配成樹脂甲苯液。 這一條合成路線和工藝比較簡便,適合我國現有的物質資源,產品可以根據聚合度和適當比例,制得不同性能供不同用途用的各種樹脂。如聚合度小的不含有溶劑,可以作灌注、密封用,中等聚合度的可以作黏合劑,聚合度大的可以用作涂料等。 665有機硅環氧樹脂產品的技術指標見表3-20,其常用固化劑及特性見表3-21。 固化劑中KH-550是665有機硅環氧樹脂較好的一種。它除了氮原子上的兩個活潑氫與環氧基起交聯作用外,其另一端乙氧基也能與樹脂中硅氧烷上殘留的羥基起脫醇反應提高了交聯密度,它本身又是一種硅化合物。因此固化產物的耐熱和耐介質性能均優于其他固化劑。
665有機硅環氧樹脂常用配方及生產工藝見表3-22,其性能見表3-23。
從表3-23數據中可以看出665有機硅環氧樹脂具有優異的電絕緣性能和耐熱性,在200℃高溫下仍保持很高的數據。 665有機硅環氧樹脂,經實際使用的考驗證明,這種樹脂有較好的電氣性,良好的工藝性及其他性能。這與它的結構有關。這樹脂以硅氧鍵為主鏈,因此有著聚硅氧烷絕妙的耐熱、防水和電性能,同時在它的一端和側鏈上結有環氧基,活性極大的環氧基不僅給樹脂帶來了良好的黏合性和機械強度,而且通過它和胺類的反應達到了低溫固化,高溫使用的超乎尋常的效果,它有力地改善了有機硅樹脂需要常時間高溫干燥的缺點。 665有機硅環氧樹脂經廣州電器所和中國科學院硅酸鹽研究所試驗,它有良好的耐水、耐鹽水、耐海水—油、真空紫外線輻照、液氮溫度淬冷、高速氣流沖刷等性能。 由于665有機硅環氧樹脂具有上述良好的性能- 因此它可以作為FH級電機的電樞線圈匝間黏合劑、浸漬漆、定子內部的表面覆蓋漆、電機定子裝配后和電樞精車后的面漆。特種耐熱、耐各種介質的涂料以及靜電復印紙的固著劑等。 (二)環氧基有機硅油 經常引入聚硅氧烷聚合物鏈段的環氧基有 合成的方法一般是預先制成含Si-H基的聚硅氧烷再與不飽和環氧化合物進行加成反應:
另一種合成方法是預先制成含有Si-Cl基的聚硅氧烷和環氧丙醇反應制得:
環氧基有機硅油主要是作化學纖維的處理劑。例如,聚酯或聚丙烯腈纖維用環氧基有機硅油和含氨基的三烷基硅烷一起處理,可賦予纖維近似羽毛的平滑性和柔軟性;環氧基硅油和氨基有機硅油并用,可賦予化學纖維以開士米或安哥拉羊毛那樣的手感;將聚酯纖維的縫紉線用環氧基硅油處理后可改良高速縫紉性和染色堅牢度。 |
































