3.溶度參數有機物的溶解度參數(簡稱溶度參數),可分為低分子有機化合物溶度參數和有機聚合物溶度參數。實際計算溶度參數(δ)可采用聚合物的結晶或交聯樣品最大溶脹測定法、溶解度光譜法、特性黏度最大值測定法和Small's計算法等,都會得到相接近的數值。
(1)低分子有機化合物溶度參數這里介紹的低分子有機化合物多數作為環氧涂料的有機溶劑或作為對涂膜的滲透介質。低分子有機化合物的溶度參數(δ)由范德華力產生的溶度參數(δd)、偶極力產生的溶度參數(δp)和氫鍵力產生的溶度參數(δH)組成,δ=
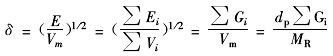
。δ、δH和δp參數見表1-7,溶度參數的單位:J0.5/cm1.5(1J0.5/cm1.5=103J0.5/m1.5)。 ![]() (2)有機聚合物溶度參數有機聚合物溶度參數(δ)是有機聚合物的內聚能密度平方根,計算式如下:
![]() 式中 E——聚合物的內聚能,J/mol;
ΣEi——聚合物重復單位中,i種基團對內聚能單獨貢獻的加和,J/mol;
Vm——聚合物結構重復單位的摩爾體積,cm3/mol;
Vi——聚合物結構重復單位中,i種基團對摩爾體積單獨貢獻的加和,Vm=ΣVi·cm3/mol;
ΣGi——聚合物結構重復單位中,&種基團對摩爾相互吸引常數單獨貢獻加和,J0.5·cm1.5;有時采用F或(E·Vm)1/2表示摩爾相互吸引常數;
dp———有機聚合物的密度,g/cm3;
MR———聚合物結構中重復單位的相對分子質量,g。
有機聚合物基團的摩爾體積見表1-8;Small's摩爾相互吸引常數見表1-9。
![]() ![]() 對于低分子有機聚合物,可將分子結構式示作重復單位。將液態雙酚F型環氧樹脂結構重復單位假設為:
![]() 查知,液態雙酚F型環氧樹脂的dp=1.189g/cm3、相對分子質量為312g。
![]() 當有機聚合物分子中含有羥基、羧基、硝基和氨基等強極性基團時,一定注意強極性作用和氫鍵對溶度參數的影響。此時,有機聚合物的溶度參數(δ)計算式可采用與低分子有機化合物相同的表達方式。在范德華力、偶極力和氫鍵力無法分離的情況下,采用Gi、dp和MR的關系式計算有機聚合物的δ值比較適宜。
有機聚合物的δ表征聚合物鏈段間相互作用(或極性)強度。除用于研究環氧樹脂涂膜防介質滲透性和耐燒蝕性外,也可用于探討溶度參數與表面張力(或表面黏附)的關系。有機聚合物液體的表面張力(γ)與有機聚合物的δ、Vm、dp及MR有如下定量關系:
![]() 涂料中常用樹脂的溶度參數,可分為強氫鍵結合溶度參數(δs),中氫鍵結合溶度參數(δm)和弱氫鍵結合溶度參數(δL)列于表1-10,請計算時選用。
![]() 4.相對溶度參數
![]() 式中 δR———相對溶度參數;
δHP———滲透介質氫鍵力溶度參數(δH)和偶極力溶度參數(δP)的平均值(δH+δP)/2,J0.5/cm1.5;
———以質量分數計量構成環氧涂膜各組分的溶度參數加和,J0.5/cm1.5。δR表征
與δHP相互作用程度。當δR=1( =δHP)時,環氧涂膜與滲透介質間的相互作用達到最大值,滲透介質會完全破壞環氧涂膜;當δR<1時,液體滲透介質對環氧涂膜的滲透量(Rm)隨δR增加而增大;當δR>1時,液體滲透介質對環氧涂膜的滲透量(Rm)隨δR增加而減小。 將配方6的環氧涂膜浸泡在液體乙酸酯和脂肪酮中,計算δR<1,則同系列液體滲透
介質對環氧涂膜的滲透量(Rm)隨δR增加而增大,即δR值越大,環氧涂膜抵擋滲透介質穿透能力越弱,Rm值越大;δR值越小,環氧涂膜抵擋滲透介質穿透能力越強、Rm值越小。配方6涂膜的滲酮、酯試驗結果如圖1-10和圖1-11所示。
![]() 5.滲透指數環氧涂膜的防介質滲透能力,可用滲透指數進行評價和預測。滲透指數由環氧樹脂和固化劑結構、涂膜的有效交聯密度、涂膜組分的溶度參數、滲透介質的溶度參數和相對分子質量決定,滲透指數計算式如下:
![]() 滲透介質對環氧涂膜的滲透能力由環氧涂膜的化學結構、滲透介質相對分子質量及滲透介質與環氧涂膜的形態結構決定。PI值隨Mc增大(ρ值減小)而增加,隨M和B增大而減小。由圖1-12知,水和醇對配方6涂膜的滲透量(Rm)隨PI值增加而增大。
![]() 用PI比較,評價和預測滲透介質對環氧涂膜滲透能力(或環氧涂膜防介質滲透能力),反映化學結構和形態結構對滲透性的影響。滲透介質對環氧涂膜的滲透能力隨PI值增大而增強(滲透量增大);選取低PI值時,環氧涂膜就呈現強的防介質滲透能力。用PI值預測滲透能力,有相當滿意的準確性。
6.滲透量的計算水和醇對環氧涂膜的滲透量可用下式計算:
![]() 式中 Rc———理論計算滲水、醇量,%;
A———滲透系數,表征化學結構和形態結構對滲透量貢獻的綜合效應系數,同系列滲透介質的A是恒定值。A水=3.3×10-5mol/g、A醇=4.5×10-5mol/g(適用于液體醇類)、A水蒸氣=8.0×10-4mol/g;
T———試驗溫度,K;
T0———273K;
t———試驗天數,α水=0.3、α水蒸氣=1.0、α醇=0.8。
用十幾種滲透介質對環氧涂膜進行滲透性試驗,證明滲透量由滲透指數(PI)、滲透系數(A)、試驗溫度(T)和試驗時間(t)決定。當滲透介質對環氧涂膜的交聯固化網絡結構無破壞作用時,在達到滲透平衡前,理論計算滲透量(Rc)與試驗測定滲透量(Rm)基本一致。
水和醇對環氧涂膜(配方6)的滲透量結果見表1-11。
![]() 由表1-11知,在達到滲透平衡前,Rc與Rm相對偏差的絕對值小于或等于10%,即Rc與Rm相吻合。在達到滲透平衡后,Rm不隨時間增長而增大,即Rc與Rm相對偏差大于+10%。所以理論計算滲透量公式,適用于滲透介質對環氧涂膜的交聯固化網絡結構無破壞作用,且達到滲透平衡前的兩個制約條件。且Rc計算式應同時滿足涂膜結構無破壞和達到滲透平衡前兩個制約條件,才會保證Rc與Rm的基本一致性。
在單位時間內,水蒸氣對游離環氧涂膜的透過量,見表1-12。結果證明,Rc與Rm有相當好的一致性。
![]() 在不同試驗溫度下,用蒸餾水對環氧涂膜(配方6)進行滲透時,滲水量隨試驗溫度升高而增大,并且在達到滲透平衡前,同一溫度下的Rc與Rm基本一致。
總之,研究了ρ(或Mc)、δR、PI和Rc對環氧涂膜滲透性的影響規律,用這些參數可快速準確地比較、評價、預測滲透介質對環氧涂膜的滲透能力,明顯減少試驗次數,提高科研工作效率。PI和Rc表達了結構(化學結構和形態結構)與滲透性間的定量關系,可作為環氧涂料配方設計的基礎依據。 環氧樹脂 - www.ytfilter.com -(責任編輯:admin) |

。δ、δH和δp參數見表1-7,溶度參數的單位:J0.5/cm1.5(1J0.5/cm1.5=103J0.5/m1.5)。 








———以質量分數計量構成環氧涂膜各組分的溶度參數加和,J0.5/cm1.5。
與δHP相互作用程度。當δR=1(
=δHP)時,環氧涂膜與滲透介質間的相互作用達到最大值,滲透介質會完全破壞環氧涂膜;當δR<1時,液體滲透介質對環氧涂膜的滲透量(Rm)隨δR增加而增大;當δR>1時,液體滲透介質對環氧涂膜的滲透量(Rm)隨δR增加而減小。




