六、適用期
適用期也稱為使用期或可使用時間,意指配制后的膠黏劑能維持其可用性能的時間。適用期是雙組分或多組分環氧膠的重要工藝指標,對于膠黏劑的配制量和施工時間很有指導意義。
雙組分環氧膠黏劑一般在混合后便放熱,也可將自混合開始到放熱溫度達到60℃的時間定義為適用期。也有規定自混合后5min開始測黏度(1~5min快速凝膠的環氧膠除外),至黏度上升為此值的1.5倍或2倍的時間視為適用期。
GB/T 7123.1—2002規定了膠黏劑適用期的測定方法。
(1)儀器和設備
a.黏度計任何類型的轉子黏度計。
b.恒溫槽溫度波動范圍±2℃。
c.天平感量0.1g。
(2)試驗條件 試驗室的溫度為(23±2)℃,相對濕度為45%~55%。
(3)試驗步驟
a.準備把待測膠黏劑的各組分放置在(23±2)℃試驗溫度下,至少停放4h。
b.膠黏劑配制及計時在比配膠量大1/3體積的GG17低型燒杯中,按膠黏劑配制使用說明書配制不少于250mL的膠黏劑,在各組分充分混合后即計時,作為膠黏劑適用期的起始時刻。
c.把配制好的膠黏劑盡快地均分成若干份(不少于5份),保存在60mL,的帶蓋小容器內,至少充滿容器體積的3/4。每一容器中的膠黏劑試樣供測定一個黏度值和制備一組膠接試樣。
d.制備膠接試樣,按膠黏劑使用說明書規定進行。
e.從適用期起始時刻起,經一定的時間間隔重復進行黏度測定和制備膠接試樣。
f.當膠黏劑初始黏度或膠接強度中有一項無法測定時,允許只進行單項試驗。
g.膠黏劑黏度測定按GB/T 2794-1995進行,膠接強度測定按相應的標準方法進行。
(4)膠黏劑適用期的確定試驗后,將膠黏劑黏度和膠接強度對時間作圖,以黏度迅速突變上升的時間和膠接強度下降到指標值以下的時間中較短的時間確定為膠黏劑的適用期。對于混合時放熱量較多的膠黏劑,其一次混合物量一般以25g為宜。對于放熱量較小的溶劑型膠黏劑,若它的近似適用期約為8h,則混合物量以500mL為宜。
(5)試驗結果用小時(h)或分(min)表示。
七、固化速度
固化速度也稱為硬化速度,對于了解粘接強度如何隨固化溫度而變化是很重要的。它可作為檢驗膠黏劑性能、鑒定配比是否正確的一種簡單易行的方法。ASTM D1144和ASTM D987都規定了硬化速度的測定方法。
固化速度通常是由硬化所需要的時間來表征的,在測定時稱取0.5~2g膠黏劑試樣放在加熱板上,溫度一般為80℃或120℃或150℃,自始至終應該保持恒溫,用鏟刀不斷地翻動,觀察膠黏劑在加熱過程中的固化情況,當膠黏劑變為不熔無流動的狀態時,記下時間,則為固化速度。
八、儲存期
儲存期是在一定條件下,膠黏劑仍能保持其操作性能和規定強度的存放時間,這是膠黏劑研制、生產、使用、經銷和儲倉都需要考慮的重要問題。如果儲存期太短,嚴重時在使用前就已固化報廢,其結果將造成很大的損失和浪費。雖然有些接近或超過儲存期的膠黏劑還可使用,但是性能已有所變化或降低。測定可按GB/T 7123-2002《膠黏劑儲存期的測定方法》標準進行。相當的國外標準有ASTM D1337-96。
(1)原理通過測量膠黏劑儲存前后的黏度和膠接強度的變化,達到測定儲存期的目的。
(2)試樣的采取按膠黏劑產品標準規定的取樣方法,從剛生產的膠黏劑中取出不少于3kg的樣品,分裝于容量約為500mL的有蓋容器中,密閉待測(若試樣包裝小于500mL可不必分裝)。
(3)儀器設備
a.恒溫器(室)溫度波動范圍±2℃。
b.容器有蓋的玻璃瓶、聚酯塑料瓶或馬口鐵罐。也可用供需雙方商定的其他規格的容器。
c.天平感量為0.1g。
(4)試驗條件
a.試樣儲存條件 室溫為(23±2)℃,時間由供需方商定。若膠黏劑有特殊要求,則儲存條件可由供需方商定。
b.試樣測定條件 溫度為(23±2)℃,對濕度敏感的膠黏劑則控制相對濕度為45%~55%。
(5)試驗步驟
a.將密閉待測試樣存放于(23±2)℃的恒溫箱中,或按膠黏劑使用說明書中所規定的條件存放。
b.將其中一個已分裝試樣的容器,在存放開始時立即置于試樣測定條件下,至少停放4h。
c.按膠黏劑使用說明配制膠黏劑。
d.膠黏劑黏度按GB/T 2794-1995進行測定。
e.按膠黏劑使用說明書的規定制備膠接試樣,并按相應的國家標準進行膠接強度的測定。
f.在存放期間,以一定的時間間隔,分別取已分裝的試樣,按以上步驟進行操作(至少2次)。
(6)試驗結果 以膠黏劑仍能保持其操作性能和規定強度的最長存放時間,作為儲存期的極限值,以時間單位(年、月、日等均可)表示。
九、耐化學試劑性能
耐化學介質是膠黏劑使用的耐久性指標之一。GB/T 13353-1992規定了膠黏劑耐化學試劑性能的測定方法(金屬與金屬)。該方法利用膠黏劑粘接的金屬試樣在一定的試驗液體中、一定溫度下浸泡規定時間后,粘接強度的降低衡量膠黏劑的耐化學試劑性能。本方法適用于各種類型膠黏劑。相當的美國標準為ASTM D896-97。
(1)原理 按GB/T 2790、GB/T 2791、GB/T 6328、GB/T6329、GB/T 7122、GB/T 7124和GB/T 7749膠黏劑強度測定方法的規定制備一批試樣,再將該批試樣任意分為兩組,一組試樣在一定的溫度條件下浸泡在規定的試驗液體里,浸泡一定時間后測定其強度;另一組試樣在相同溫度條件的空氣中放置相同的時間后測定其強度。兩組強度值之差與在空氣中強度值的百分比為膠黏劑耐化學試劑性能的強度變化率。
(2)設備
a.使用所采用的測定方法中規定的試驗機和夾具。
b.試驗容器在試樣浸泡期內應能密封,并能承受液體在試驗溫度時所產生的壓力和不受所使用液體的腐蝕。
(3)試樣根據所采用的測定方法確定試樣形式、試樣制備要求和每組試樣個數。
(4)試驗液體
a.礦物油中的芳香烴含量是造成膠黏劑溶脹的主要原因,在不同產地、不同批次的同種牌號的商品油中,芳香烴含量也可能不同,因此商品油不能直接用作試驗液體。
b.耐烴類潤滑油的溶脹性能試驗應在橡膠標準試驗油1號、2號、3號中選擇試驗液體,所選用的標準試驗油其苯胺點應最靠近商品油的苯胺點,橡膠標準試驗油應符合表9-1的規定。
![]() c.橡膠標準試驗油的理化性能測定按GB/T262、GB/T265及GB/T267進行。
d.耐化學試劑試驗應采用產品使用時所接觸的同樣濃度的化學試劑。
e.蒸餾水。
除a和b所列出試驗液體外,只要生產者和用戶雙方同意,可采用其他液體。
(5)試驗條件
a.在下列的推薦溫度選擇浸泡溫度:(23±2)℃、(27±2)℃、(40±1)℃、(50±1)℃、(70±1)℃、(85±1)℃、(100±1)℃、(125±2)℃、(150±2)℃、(175±2)℃、(200±2)℃、(225±3)℃、(250±3)℃。
b.在下列的推薦時間里選擇浸泡時間:2400.25h、700+2nh、(168±2)h、168的倍數。
c.試驗液體的體積應不少于試樣總體積的10倍,并確保試樣始終浸泡在試驗液體中。
d.試樣液體只限于使用1次。
e.試樣制備后的停放條件、試驗環境、試驗步驟、試驗結果的計算均應按使用的測定方法標準的規定。
(6)試驗步驟
a.把試驗液體倒入容器內,倒入的量應符合試驗條件(5)c的規定。
b.把1組試樣放入容器內,每個試樣沿容器壁放置。
c.合上容器蓋至完全密閉,做高溫試驗要先調節恒溫箱,使恒溫箱溫度達到試驗條件(5)a中選定的溫度,將容器放入恒溫箱內再開始計時。
d.浸泡時間應符合試驗條件(5)b的規定。
e.室溫試驗時,每隔24h輕輕晃動容器,使容器內各部分試驗液體的濃度保持一致。
f.規定時間后從容器中取出試樣,高溫試驗時,應先從恒溫箱內取出密閉容器,冷卻至室溫后再取出試樣。
g.試驗液體是(4)b中試驗油時,用一合適有機溶劑洗凈試樣上的介質。當試驗液體是(4)c中試劑時,用一合適有機溶劑或蒸餾水洗凈試樣上的試劑,用干凈的濾紙擦干試樣。
h.按試驗條件(5)e測定試樣的強度并計算算數平均值。
i.在和試驗步驟(6)c相同溫度下,把另一組試樣在空氣中放置和試驗步驟(6)d相同的時間后,按試驗條件(5)e測定試樣的強度并計算算術平均值。
(7)試驗結果
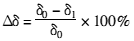
a.膠黏劑耐化學試劑強度變化率:
![]() 式中 △δ———膠黏劑耐化學試劑強度變化率,%;
δ0———在空氣中放置后試樣強度的算術平均值;
δ1———經化學試劑浸泡后試樣強度的算術平均值。
b.計算結果精確到0.01。
十、其他性能的檢測
(1)耐熱性 耐熱性檢驗主要有恒定溫度試驗和高低溫交變試驗。恒定溫度實驗可在電熱鼓風干燥箱或普通熱老化試驗箱中進行,溫度可取80℃、100℃、120℃、150℃、200℃或更高,試驗時間0.5~1.0年。高低溫交變試驗最好在自動控制溫度和溫度能周期變化的高低溫試驗箱內進行。一般采用的低溫為-60℃,高溫則是最高使用溫度。
(2)阻燃性 隨著安全環保法規的日益嚴格,膠黏劑的阻燃性愈顯重要,但目前尚無國家標準,只能參考塑料燃燒性能試驗方法GB/T 2406 93氧指數法和GB/T 8323-87煙密度法。
(3)耐輻射性 參考ASTM D1879-99標準。
(4)耐霉菌性 參照ASTM D1286。
(5)耐腐蝕性 參照ASTM D3310-00。 環氧樹脂 - www.ytfilter.com -(責任編輯:admin) |


