二、電子級環氧模塑料的組成及其主要性能
環氧模塑料主要由環氧樹脂、固化劑、促進劑、填料、偶聯劑、改性劑、阻燃劑、脫模劑、著色劑等組成。
1.環氧樹脂
環氧樹脂作為基體樹脂起著將其他組分粘合到一起的重要作用,它決定了模塑料成型時的流動性和反應性及固化物的力學、電氣、耐熱等性能。常用的環氧樹脂有:
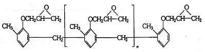
(1)鄰甲酚醛環氧樹脂分子結構式為:
![]() 鄰甲酚醛環氧樹脂的主要性能見表5-8。由于它具有優良的熱穩定性和化學穩定性,優異的耐濕性能,已成為環氧模塑料使用最廣泛的基體樹脂。環氧當量低時模塑料彎曲強度高、耐熱性及介電性能好,若環氧當量相同時樹脂黏度增加,軟化點也相應增加,模塑料的玻璃化溫度(Tg)略有增加,但螺旋流動長度變短、吸水率增加。
![]() ![]() 樹脂合成時的副反應導致產物有副反應產物(即雜質),見表5-9。從表中分子結構式可以看出雜質是含有化學鍵的氯化物和羥基化合物。水解氯主要來源于a、b、c三種雜質,a是氯代醇化合物,它很容易水解,提高制備工藝水平可以除去。但是b、c雜質含的氯不易水解,很難除掉,所以環氧樹脂有機氯主要存在b、c雜質中。d雜質是環氧基水解產物,e雜質是產物分子之間反應所致f雜質是未反應的酚醛。d、e、f雜質均含有羥基。這些雜質的存在會使環氧模塑料性能下降,影響到塑封半導體器件的可靠性。所以在制備環氧樹脂時應選擇最佳聚合條件,使雜質含量越少越好。因為聚合物分子鏈上的氯(即有機氯)在高溫環境下可部分水解成為無機氯。一般產品有機氯含量為(400~500)×10-6,高純產品小于200~10-6,超高純產品小于100×10-6。有機氯含量愈少高溫水解成無機氯也就愈少。環氧塑封料含氯離子和鈉離子愈少,塑封半導體器件芯片上鋁布線被腐蝕也就越小。
(2)含溴環氧樹脂 環氧模塑料中加入含溴環氧樹脂可起阻燃作用,一種是含溴雙酚A環氧樹脂
![]() 。另一種是含溴酚醛環氧樹脂 主要性能指標見表5-10。在燃燒時溴化物能起到阻燃作用效果較好,但同時產生對人身健康有害物質,所以人們正積極尋找代用品。![]() (3)新型環氧樹脂 由于鄰甲酚醛環氧樹脂熔融黏度較大,增加填充料用量時模塑料熔融黏度變大不能滿足使用要求,所以近年來人們在努力開發新型的環氧樹脂,其特點是熔融黏度低、吸水率低、耐熱性能好的雙官能團或多官能團的新型環氧樹脂。這方面報道很多,現將它們的分子結構式及其主要性能匯總下表5-11中。
![]() 聯苯型環氧樹脂由于處于單分子的結晶態,熔融黏度極低(150℃時為0.01Pa·s),可以大量填充球形熔融二氧化硅填料,使環氧模塑料的線膨脹系數極大地降低。聯苯型環氧樹脂是超低應力、低膨脹型環氧模塑料的首選基礎樹脂,缺點是價格昂貴,貯存期較短,容易發生溢料。雙環戊二烯型環氧樹脂(DCPD)是由日本大日本油墨公司開發出的另一低黏度環氧樹脂。其特點為低熔融黏度(150℃時為0.07Pa·s),低吸濕性(吸濕性較鄰甲酚醛環氧樹脂和聯苯型環氧樹脂都好),粘接強度較高,優秀的耐熱性能和機電性能。由于具有以上特點,雙環戊二烯型環氧樹脂特別適用于制備表面安裝技術(SMT)用環氧模塑料。缺點是阻燃性不好。三官能團型環氧樹脂由于耐熱性好,固化后有較高的玻璃化溫度和低翹曲性能,適合制備對玻璃化溫度和耐翹曲性能有較高要求的PBGA用環氧模塑料。
2.固化劑
固化劑的主要作用是與環氧樹脂反應形成一種穩定的三維網狀結構,固化劑和環氧樹脂一同影響著模塑料的流動性能、熱性能、力學性能和電性能。電子級環氧模塑料的固化劑多采用線性酚醛樹脂。它與其他類型固化劑如酸酐、多胺等相比,產物具有優異的耐熱性和介電性能,吸水率低及成型收縮率小等特點。它的分子結構式為
![]() ,主要的物理化學性能見表5-12。
![]() 近年來開發出高耐熱低吸水率的酚醛樹脂見表5-13。
3.填料環氧模塑料中采用的填料主要是二氧化硅粉(俗稱硅微粉)。它具有介電性能優異、熱膨脹系數低、熱導率高及價格低等特點,用它作填充料主要目的是使環氧模塑料熱膨脹系數、吸水率、成型收縮率及成本降低;耐熱性、機械強度、介電性能及熱導率提高。硅微粉在環氧模型料中含量高達60%~90%,它們性能優劣對環氧模塑料品質有著十分重要的影響。
![]() ![]() (1)硅微粉有兩類,一類是結晶型硅微粉,它的顆粒外形為角形,因此又稱為角形結晶型硅微粉,另一類是熔融型硅微粉,它的顆粒外形有角形的,也有球形的,所以稱為角形熔融型硅微粉和球形熔融型硅微粉。含鈾量低的石英石可加工成低鈾含量的結晶型硅微粉和熔融型硅微粉。采用化學合成方法制備的球形熔融型硅微粉鈾含量很低,但價格很高。石英石是結晶型的二氧化硅石經1900~2500℃高溫燒制后轉化成熔融型或者稱無定型二氧化硅石塊。它們的結構如圖5-6所示。
(2)二氧化硅的物理性能見表5-14。結晶型硅微粉特點是熱導率高,價格低;熔融型硅微粉特點是熱膨脹系數低,價格較高,合成球形硅微粉鈾含量低但價格昂貴。根據環氧模塑料性能及用途不同可采用不同類型的硅微粉。采用鈾含量低的填充料制備的環氧模塑料可用于塑封超大規模集成電路,目的是避免出現所謂“軟誤差”現象。
![]() (3)硅微粉顆粒形狀、大小及其分布。它的顆粒是球狀的稱為球形硅微粉,顆粒為角狀的稱為角形硅微粉,用掃描電鏡可以清晰辨認出。硅微粉的顆粒粒徑一般在0.1~150μm范圍內,中位粒徑d50=5~50,粒度分布可用激光粒度分布儀測定。
![]() (4)硅微粉制備工藝簡介。硅微粉是由普通硅石經粉碎、純化處理,過篩分類等工序獲得角形結晶硅微粉,把它高溫熔融后噴射成球,過篩分類則得球形硅微粉。普通硅石經熔融、粉碎、純化處理、過篩分類得到角形熔融硅微粉。低α-射線硅石經相似工序可獲得低α-射線的角形或球形硅微粉。另一個途徑是合成法制備低α-射線的硅微粉,方法是通過控制正硅酸乙酯、四氯化硅的水解制。得球形硅微粉。
我國石英石礦產豐富,生產角形硅微粉已經有二十多年歷史。有浙江華能硅級粉有限公司、江蘇東海硅微粉廠等單位生產。硅微粉產品分類及產品型號規格主要用途見表5-15,粒度分布見表5-16,產品理化技術指標見表5-17。
![]() ![]() 填料的主要作用是提高熱導率,降低熱膨脹系數和成型收縮率,還可起到增強作用,提高可靠性;但同時會導致模塑料的黏度增加,降低成型性,所以填充量要選擇適當。在使用無機填料的過程中,還要對它進行表面改性。改變填料表面的物理化學性質,提高其在樹脂和有機聚合物中的分散性,增進填料與樹脂等基體的界面相容性,進而提高材料的力學性能和耐濕性能,是作為填料的礦物粉體表面改性的最主要的目的。粉體的表面改性方法有多種,根據改性性質的不同可分為物理方法,化學方法和包覆方法;根據具體工藝的差別分為涂覆法、偶聯劑法、煅燒法和水瀝濾法。綜合改性作用的性質、手段和目的,分為包覆法、沉淀反應法、表面化學法、接枝法和機械化學法。制備環氧模塑料時通常采用表面化學方法改性,即通過表面改性劑與顆粒表面進行化學反應或化學吸附來完成表面化學改性。一般使用的表面改性劑主要是偶聯劑、高級脂肪酸及其鹽、不飽和有機酸和有機硅等。環氧模塑料中通常使用的表面改性劑是偶聯劑。偶聯劑按照化學結構分為硅烷類、鈦酸酯類、鋯類和有機鉻化合物等類型。偶聯劑等改性劑對填料表面進行的改性及應用主要有預處理法和整體摻合法。預處理法是將填料粉體首先進行表面改性,再加入到基體中形成復合體。預處理法又分為干式處理法和濕式處理法。整體摻合法將塑料等制品的部分加工工藝與填料的改性工藝相結合,具體過程是:填料與高分子聚合物混煉時加入偶聯劑原液,然后經成型加工或高剪切混合擠出,直接制成母料。一般認為,預處理改性的效果優于整體摻合法。因為在有樹脂存在時,偶聯劑受到稀釋,而且還可能因樹脂的作用而相互結塊。由于填充料是環氧模塑料含量最大的組分,所以填充料對環氧模塑料的力學性能、密封性能、電學性能都有很大的影響。而填充料的表面改性技術直接影響著環氧模塑料密封性能及粘接性能,是各環氧模塑料生產與研究單位的核心技術。
4.促進劑
環氧塑封料是單組分材料,固化促進劑決定了模塑料的固化行為,影響著模塑料固化速度的快慢,對環氧模塑料的力學性能、熱性能、吸濕性能、成型工藝性能等都有顯著影響。固化促進劑主要有胺類、咪唑類、膦類。促進劑用量越多固化速度越快,但加入促進劑過多會使塑封料儲存期變短。固化促進劑的選擇是各環氧模塑料生產研制單位的又一項核心技術。
5.阻燃劑
阻燃劑的添加是為了賦予模塑料的阻燃性能,使模塑料達到UL—94—V0級標準,使由模塑料塑封的集成電路和分立器件可以用在家用電器產品中。阻燃劑通常使用銻的化合物和溴化物。由于人們環保意識的加強,上述阻燃體系將會逐漸被綠色阻燃體系所代替。
6.脫模劑
脫模劑的作用是使固化后的產品比較容易地從模具中取出,其用量選擇要適當,量多雖然容易脫模,但是密封性和可打印性下降。脫模劑通常使用天然或人造脂肪酸酯或高級脂肪酸酯,用來控制模塑料的脫模性、可打印性、耐潮性。
7.著色劑
著色劑起著色作用,主要有黑色,也有綠色、紅色等。以遮蓋所封裝器件的設計及防止光透過。根據用戶要求可以把塑封料配制成不同的顏色。著色劑通常使用炭黑。塑封產品打印標記有兩種方法,一種是油墨打印,一種是激光打印。在采用激光打印時,著色劑采用特殊顏料。 環氧樹脂 - www.ytfilter.com -(責任編輯:admin) |





。另一種是含溴酚醛環氧樹脂
主要性能指標見表5-10。在燃燒時溴化物能起到阻燃作用效果較好,但同時產生對人身健康有害物質,所以人們正積極尋找代用品。




















