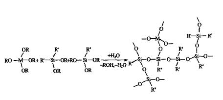
1 概述 紫外線固化涂料(簡稱 uv 固化涂料)和電子束固化涂料(簡稱 eb 固化涂料)統稱輻射固化涂料,由于 uv 固化涂料的涂裝設備投資低,應用推廣比 eb 固化涂料快得多。本文將介紹的等離子體固化有著和 uv 固化相同的機理,它也屬于輻射固化。 uv 固化涂料固化速度快(以秒計)、 voc 低、符合環保要求,且效率高和節能,尤其固化時放熱少,適合各種對熱敏感的材料,如紙張、塑料、木材、皮革等的涂裝,所以 uv 固化涂料發展很快。 uv 固化的有機硅涂料也是輻射固化涂料的一大類。輻射固化有機硅涂料品種包括:有機硅 - 丙烯酸 uv 固化涂料、有機硅 - 環氧 uv 固化涂料、硅氧烷為主要原料的有機 - 無機雜化的輻射固化涂料。 uv 固化的有機硅丙烯酸酯低聚物通過不同方法引入丙烯酰氧基,這類低聚物具有較低的表面張力,用作壓敏膠防粘紙中的離型劑。由于主鏈為硅氧鍵,有極好的柔韌性、耐高低溫性、耐濕性、耐候性、電性能,常用作電器和電子線路的保護和密封,特別是用作光纖保護涂料。此外,也能用作玻璃和石英材質光學器件的膠粘劑。 uv 固化有機硅 - 丙烯酸涂料的不足之處是受氧阻聚,涂膜固化不完全,耐溶劑、耐水性差,且涂膜經受快速固化和突然終止固化而易起皺。 uv 固化有機硅 - 環氧涂料因可采用陽離子光引發劑,克服了氧阻聚、涂膜易起皺的不足,在 uv 固化的剝離涂料、防粘涂料和白色涂料中得到較好的應用。 uv 固化的有機硅 - 丙烯酸、有機硅 - 環氧涂料將另文討論,本文主要敘述以硅氧烷為主要原料的有機 - 無機雜化的輻射固化涂料。 2 輻射固化有機 - 無機雜化涂料 有機 - 無機雜化涂料綜合了有機樹脂的優良成膜性、柔韌性、基材附著力、較低成本和無機樹脂的高強度、對熱和化學的高穩定性及超常耐久性,克服彼此不足,達到優勢互補,這是涂料新材料的重要發展方向之一。有機 - 無機雜化方法雖有物理摻混法,但該法對無機結構成分引入量受到限制,改性不明顯。采用的主要方法是化學鍵合方法,有溶膠 - 凝膠法( sol-gel 法)、表面接觸法、粘土插層法、聚倍半硅氧烷復合法等,使用較多、較成功的是以含功能性硅氧烷結構單元為前驅體的溶膠-凝膠法,采用輻照固化更是新發展的涂料品種。 2.1 輻照固化有機 - 無機雜化涂料的成膜物結構 溶膠 - 凝膠法的原理是利用 si 、 ti 、 al 、 zr 等烷氧化物作為無機前驅體,經水解、縮合形成無機網絡溶膠,和加入的有機單體或低聚物聚合,形成有機 - 無機雜化凝膠體。其反應過程及雜化體基本結構如圖 1 所示。
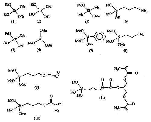
圖 1 烷氧基單體的溶膠 - 凝膠反應 2.2 制備輻射固化有機 - 無機雜化涂料的單體 用于制備雜化涂料成膜物的普通單體有形成無機網絡的化合物[圖 2 :( 1 ) ~ ( 4 )],形成有機網絡的化合物[圖 2 :( 9 ) ~ ( 11 )]及改進網絡的化合物[圖 2 :( 5 ) ~ ( 8 )]。
圖 2 通常用于制備雜化涂料的單體 3 輻照固化技術——大氣壓力下的氣溶膠促進等離子體固化工藝( aapp ) 3.1 aaap 固化工藝 等離子體在火焰、電弧、火花光譜激發光源作用下,激發區域氣態物體電離,有分子、原子、離子和電子存在,總體上呈中性,稱為等離子體( plasm )。在化學工業中,利用等離子技術可以實現一系列的化學反應,制備新化合物和化工產品。涂料涂裝中等離子體廣泛用作刻蝕、膜沉積、表面處理與改性,等離子體噴涂涂料就是利用其沉積膜的特點。但使用低壓等離子體,開發與設備投資較昂貴,難以工業化。為克服這些不足,采用大氣壓力的氣溶膠促進等離子體工藝( aerosol-assistedatmospheric plasma process , aapp )固化有機 - 無機雜化涂料,具有不用光敏劑,不受氧阻聚,可以固化 uv 不能固化和熱不能固化的涂料,所得涂膜致密性強、性能良好的特點。 aapp 噴涂工藝簡圖見圖 3 。雜化涂料自動、連續地噴涂至被涂基材上的等離子體區域,等離子體對涂料懸浮顆粒或微滴的影響將提高涂料的反應性,從而改變交聯和固化性能。因為等離子體的電子能量比離子或中性碎片要大得多,富能量的電子和工作氣體(例如氮氣)碰撞,增加涂料分子的離解、激發和離子化,比 uv 固化中光引發劑引發自由基的效果要強很多,所以等離子體固化不需要光引發劑。這種工藝的另一個特殊性是等離子體的體積聚合和涂膜淀積同時發生,而普通涂裝工藝中施涂和涂膜固化分兩步進行。這種 aapp 工藝可連續進行。
圖 3 aapp 工藝簡圖 3.2 aapp 固化技術和普通固化技術比較 將帶有活性基團甲基丙烯酰氧基烷氧基硅烷、環氧基的烷氧基硅烷和不含活性基團的烷基烷氧基硅烷(對應圖 2 中的單體 10 、 9 、 8 ),預先水解,然后分別進行 aapp 工藝固化、 uv 固化和熱固化,固化情況見表 1 。由表 1 可見:含丙烯酰氧基的 10 , uv 固化成膜;含環氧基的 9 在 130 ℃ /60 min 下固化成膜,也可在 uv 下用陽離子光引發劑激發開環反應聚合,最好是熱聚合。不含活性基的 8 在 130 ℃ /60 min 下不能固化成膜, uv 也不能固化。但 3 種預水解的單體用 aapp 工藝都可固化成膜。 表 1 預水解的烷氧基硅烷單體的固化情況
3 種單體固化前后的 ir 光譜分析證實, 10 中的 uv 固化和 aapp 固化機理相似,二者在固化后其雙鍵 c=c 的特征峰 1 640 cm -1 均明顯降低,不同之處是 aapp 固化不用光引發劑。 含環氧基的 9 熱固化后羰基區特征峰在 1 725 cm -1 處, aapp 工藝固化后特征峰在 1 690 cm -1 處,至少證實是環氧基開環反應,并可能與聚合反應有關。不含活性基團的 8 熱固化不能成膜, ir 光譜不產生變化; aapp 工藝固化成膜,在 ir 光譜中 1 695 cm -1 處的吸收峰明顯降低,產生了交聯。這種有機交聯可能是在 aapp 過程中經由分子碎裂 / 氧化作用進而和丙基成鏈 / 交聯。 為測定 aapp 工藝和普通固化技術固化涂膜的交聯密度,用對氣體和水的滲透性來比較,選擇氧的輸送率(滲透率)來表征。以不含活性基團的 8 在聚酯薄膜上的固化為例,經 aapp 工藝固化的涂膜(膜厚 12 μ m ),氧的滲透率從 130 cm 3 / ( m 2 · d · pa )降至 80 cm 3 / ( m 2 · d · pa );而在 130 ℃ /60 min 下熱固化不能成膜,氧的輸送率只降低了 10 cm 3 / ( m 2 · d · pa )。其他試驗也證實,由于引入了無機交聯網絡結構,故涂膜能獲得良好的屏蔽性能。 3.3 aapp 工藝中的無機交聯劑 引入無機交聯網絡雖然可以提高涂膜的致密性與屏蔽作用,但在具有多組分的復合材料體系,用 uv 固化和熱固化能得到具良好屏蔽性的涂膜,但用 aapp 工藝固化時會形成粉末,不能沉積成膜。其原因是溶膠中無機交聯劑受高度交聯性能的影響。 bayer 公司的 bayrest 12 (圖 4 )用作無機交聯劑,在 aapp 工藝中可沉積出穩定的涂膜。由于 bayrest 12 中 si- 乙氧基的適用性,可以通過溶膠 - 凝膠技術用不同烷氧基硅烷單體(圖 2 中的 8 、 9 、 10 、 11 )進行改性(圖 4 )。
圖 4 用不同官能基硅烷對 bayrest 12 改性的可能途徑 不同的 bayrest- 功能性硅氧烷所得涂膜的滲氧率,對未涂的 p p 膜(厚 5 8 μ m )滲氧率為 496 cm 3 / ( m 2 · d · pa ), 用 uv 固化 pp 上的涂膜后,氧滲透率降至 339 cm 3 / ( m 2 · d · pa ),降低 31%~36% 。用 aapp 工藝固化, bayrest-10 ( 50/50 )涂膜的氧滲透率降低 80% ; bayrest-11 ( 20/80 )涂膜的氧滲透率降低了 93% 。普通固化方法(如 uv 固化)的膜厚為 10~15 μ m ,而 aapp 工藝固化的涂膜厚度在 1.5~3 μ m ,但對氧的屏蔽性卻大大超過普通固化的涂膜??梢?span lang=en-us> aapp 工藝固化的涂膜交聯密度比普通固化方法固化的涂膜要大得多。 4 結語 大氣壓力氣溶膠促進等離子體工藝( aapp )固化有機 - 無機雜化涂料,可以產生與 uv 固化與熱固化相同的交聯固化機理,但所得涂膜性能優于普通的 uv 固化與熱固化涂膜,尤其是對氧氣等的屏蔽性大為提高,甚至對不含活性基團的材料也有交聯作用, aapp 工藝有明顯提高涂膜交聯密度和致密性的作用。和一般低壓等離子體噴涂工藝相比,又可降低開發與設備費用,為工業化提供了條件。 aapp 工藝是有機 - 無機雜化涂料固化的新技術,在國外已開始工業化試用與推廣,值得國內同仁們關注。 |





