四、縮水甘油胺環氧樹脂 縮水甘油胺環氧樹脂是由多元胺或三聚氰酸和環氧氯丙烷反應制得的,環氧基直接連在叔胺基上。 (一)三聚氰酸三縮水甘油胺(TGIC) TGIC結構如下:
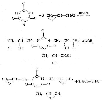
TGIC主體為三嗪核骨架含有3個環氧基,固化后比雙酚A型環氧樹脂交聯密度更緊密,因而具有優良的耐高溫性能,馬丁耐熱可達250℃,且有優良的耐候、光老化性,由于含氮量高達14%(質量分數)還具有優良的耐電弧性和自熄性。這些優良的性能使人們對它的合成和應用作了很多的研究。 典型的TGIC的物化性能如下: 外觀白色結晶粉末;分子量297.29;熔點102~105℃;黏度(120℃)0.058~0.065 Pa·s(Hoppler);環氧當量102~108g/mol(環氧值0.926~0.98m01/100g);有機氯<1.0%(質量分數);無機氯<0.3%(質量分數)。 TGIC的合成分二步第一步三聚氰酸和環氧氯丙烷在季銨鹽催化下發生開環加成反應:
據資料報道,在帶有電動攪拌、溫度計、油水分離器的四口反應瓶中,投入12.9g三聚氰酸,140g環氧氯丙烷,0.5g四甲基氯化銨,7g水,不斷攪拌下,加熱至回流.將油水分離器上層的水分去,下層環氧氯丙烷返回到反應瓶中,在約40min時間內物料溫度緩慢由89℃上升至121℃,水脫完后將反應液冷卻至25℃。第二步分批加入含量97%(質量分數)的粉狀氫氧化鈉13.5g,約20min內加完,繼續反應半小時,其生成的氯化鈉固體加入50ml水使之溶解。把物料移至分液漏斗中除去水層。有機層用20ml 20%濃度(質量分數)的NaH2PO4水溶液中和,除去水層再用20ml水洗滌,再分去水層。有機層用無水氯化鈣干燥,過濾后,減壓蒸餾回收過量的環氧氯丙烷,即制得28.3g油脂狀的產品,收率為95%(質量分數)。再加入甲醇115g進行重結晶,溶液放在0℃下1晝夜,即得到18.7g白色結晶體收率為75%(質量分數),熔點103~104℃。 另據報道,反應器裝置和投料量同上,僅催化劑用量為0.24g分二次加入。第一步加成反應時先加入催化劑0.12g,第二步環化反應采用50%(質量分數)的NaOH28.8g和0.12g催化劑在60℃減壓下向物料中滴加,壓力控制在0.019~0.0199MPa,水和環氧氯丙烷共沸經油水分離器不斷地分去水分而環氧氯丙烷返回到反應液中,約80min完成水的分餾。然后逐漸將壓力降到0.012~0.013,這時再分出約25ml的水。這時放去真空并且冷卻,同上一方法一樣作后處理得到28.2g粗制品,用甲醇重結晶后得到22.9g白色的結晶產物,收率約75%(質量分數),經分析環氧值為0.964mol/100g,總氯含量1.1%(質量分數)。 TGIC最大的應用領域是和羰基為端基的飽和聚酯配合作為耐候、戶外用裝飾性粉末涂料之用。 (二)對氨基苯酚環氧樹脂和二氨基二苯甲烷環氧樹脂 DGGAP由美國聯碳公司率先開發的,牌號為ERLB-0500,國內產品牌號為AFG-90。TGDN瑞士CIBA-GEIGY公司牌號為Araldite MY 720,國內相似產品牌號為AG-80。兩者技術指標見表2-9。
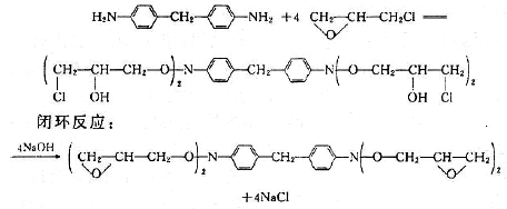
(1)合成 通常含有縮水甘油基樹脂的合成分兩步進行。首先氨基進攻環氧氯丙烷的環氧基生成氯代醇;然后在堿作用下(氫氧化鈉)發生閉環反應,生成縮水甘油胺和氯化鈉。此兩步反應常常同時發生,實際合成是使用過量的環氧氯丙烷,這樣既可作為溶劑,又可抑制低聚物的生成。環氧氯丙烷和多元胺反應是劇烈的放熱反應,必須在良好的攪拌狀態下,逐漸滴加環氧氯丙烷,并加強冷卻。以下以二氨基二苯甲烷為例表示主要反應式。 氯代醇的生成:
TGDN一般商品501C時的黏度為12000mPa·s,而用分子蒸餾法和制備高性能液相色譜法離析的純TGDN,50℃時的黏度為1100mPa·s。因此,在TGDN的商品中,明顯地含有高黏度的分子量高的齊聚物。原來以為這些分子量較高的齊聚物之所以產生,是因為在最后高溫蒸餾的過程中,游離的NH與環氧基發生反應的結果。但是,在用高壓液相色譜跟蹤該反應過程時,發現情況并非如此。用高壓液相色譜分析剛好發生閉環反應之前的氯代醇的組成,分析結果表明已經生成大量的分子量高的齊聚物。因此,在加入環氧氯丙烷的過程中,生成高分子量的齊聚物的過程(advancement process)就已經發生,并認為這是由于氯代醇與游離胺發生反應的結果,如反應示意圖2-8。
消除這個副反應的最好途徑就是要找到一種方法,用游離胺與環氧氯丙烷的反應來抑制胺與事先生成的氯代醇反應。事實上要用這種方法是困難的,因為除了在最后階段添加之外,體系中與其說總是環氧氯丙烷過量,倒不如說胺過量的好。 目前,通常采用一種工藝,已經相當成功地達到了這一目的。這種方法適用于合成一系列的縮水甘油胺類樹脂,尤其是用于合成劍橋的達克斯福德(Duxford)生產的低黏度的TGDN樹脂。 (2)應用特點這兩種縮水甘油胺類樹脂的特點是對玻璃纖維、碳纖維的浸潤性好,固化產物具有良好的耐熱性和耐核輻射性,所以主要用于宇航和軍事工業中,例如作為火箭輔助發動機的纏繞成型殼體等。 DGGAP樹脂另一個重要的特色是固化收縮率小。盡管在配料溫度低的情況下填料添加數量受到了限制,但固化收縮率仍可做到0.4%,這是雙酚A型環氧樹脂澆鑄體系無法比擬的。這樣就降低了固化物的殘留收縮應力,增強了該鑄件的抵抗應力開裂的能力。 |






