在雙酚A型環氧樹脂中,分子量為900以上的品種在室溫下均呈固態。它們的主要用途是涂料和層壓材料,隨著涂料工業和電子工業的迅速發展,這類樹脂的性能、合成方法等日益受到人們的關注。 環氧樹脂的合成方法可以歸納為一步法和二步法兩大類。
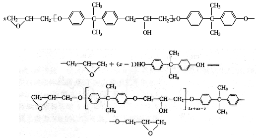
這兩種方法的根本區別在于:一步法是縮聚反應;而二步法則是加成聚合反應。 一、一步合成法 它是以環氧氯丙烷和雙酚A為主要原料,通過一步縮聚的方法合成固體樹脂。主要反應方程式如下:
一步合成法制造中等分子量環氧樹脂工藝流程見圖1-2。 (一)水洗法 原料雙酚A和氫氧化鈉水溶液在溶解釜中溶解后送入反應釜,在一定溫度下迅速地一次性加入環氧氯丙烷。控制放熱反應,反應完畢后靜置,使樹脂和堿水分層。吸去上層堿水后用沸水洗滌除去樹脂中的殘堿和副產物鹽類。然后經過常壓、減壓脫水得到產物。水洗法反應如下:
(二)溶劑法 這種方法對上述方法中后處理有了較大的改進。在靜止分層吸去堿水后加入有機溶劑,明顯地改善了洗滌效果。水洗滌完成后經過濾可濾去機械雜質和凝膠粒子,使產品質量有明顯的提高,溶劑可回收再用。兩種處理方法對樹脂質量的影響見表1-5。
由于水洗法所獲得的樹脂色澤深并且含有微小的凝膠物(microgelatin)。而限制了它在淺色涂料、透明印刷電路板等方面的應用,尤其是在粉末涂料中樹脂的微小凝膠物會影響涂膜的流平性。 由于溶劑法具有明顯的優點,因此國外近年來在溶劑的選擇、加入方法等方面做了大量的研究工作。目前大都傾向于在縮聚反應時就加入溶劑。像甲醇、異丙醇等醇類可以加快反應速度,提高環氧氯丙烷的利用率。但在水洗過程中醇類因溶于水而往往隨廢水排放而流失。所以在合成分子量在1000左右的樹脂時也可加入苯、甲苯等芳香族溶劑。這樣可以制得色澤很淺的產品,但在用熱水水洗時溶劑揮發量大,也會造成環境污染。據日本東都化成株式會社的報道,甲基異丁基酮等酮類是較為理想的溶劑。它適宜于制造平均分子量為1000~3500的環氧樹脂,且環氧氯丙烷的利用率均在97%(質量分數)以上。 盡管溶劑法有很多優點,但它畢竟會造成環境污染,因此各國科學家仍不放棄水相法合成固體環氧樹脂的探索工作。 (三)懸浮法和界面縮聚法 水洗法由于縮聚反應劇烈,樹脂生成后體系黏度上升很快,分子間的有效碰撞幾率下降,這時就容易發生如下反應:
形成支鏈結構,降低了產物的柔軟性和電絕緣性。尤其是合成高于水沸點,軟化點在100℃以上的樹脂時,攪拌更是困難。懸浮法和界面縮聚法可以解決這個問題。 懸浮法的典型文獻由波蘭華沙有機化學協會發表。此法是采用分散劑使樹脂在水相中形成珠體,減少了機械攪拌的阻力。分散劑是聚乙烯醇、羧甲基纖維素等。在合成軟化點在120℃以上的樹脂時,需添加一些芳香族溶劑如二甲苯之類,用來加快反應物的擴散。 界面縮聚法,是由Dow Chemical Compony首先發表的。反應的關鍵設備是一個具有高速剪切力可變速攪拌的反應器。水是惟一的反應介質。其用量是環氧氯丙烷和雙酚A總量的3~20倍,最高攪拌速度達到12800r/min,最低速度為227r/min。這種方法的優點是可制得比普通方法具有更低熔融黏度的高分子量以及超高分子量的環氧樹脂。但是反應器很復雜,體積利用率很低,有待進一步改進。 在一步法合成中,產物分子量的大小主要依靠環氧氯丙烷與雙酚A之間的摩爾比以及氫氧化鈉與環氧氯丙烷之間的摩爾比調節。典型的配方及產物的物化性能見表1-6。
從表1-6可以看出,環氧氯丙烷和雙酚A之間摩爾比的微小變化就會使產物的物化性能發生較大的變化。眾所周知,環氧氯丙烷在堿性條件下很容易水解,因此用一步法合成90℃以上軟化點的環氧樹脂的穩定性很差,再加上樹脂中所含的副產物氯化鈉很難清除干凈。基于以上原因在制造高分子量環氧樹脂時都采用二步法來合成。 二、二步合成法 二步合成法制中高分子量環氧樹脂工藝流程見圖1-3。 二步法是以低分子量環氧樹脂和雙酚! 作為原料通過加成聚合制造固體樹脂的方法。此法是由低分子量環氧樹脂制備過程中已經過一步縮聚反應而得名。在整個反應過程中原料和產物都處于熔融狀態,因此又稱為熔融加成聚合。其反應方程式如下:
從上式可以看出,它和一步法合成環氧樹脂的顯著區別是反應中不生成氯化鈉副產物,從而不需要后處理。
生成物的分子量依靠低分子量環氧樹脂與雙酚A的摩爾比來調節。產物的質量除了與雙酚A 的質量有密切關系外,還與低分子量環氧樹脂中的雜質含量和所采用的催化劑的種類有關。 早期的國外專利中曾介紹過不用催化劑來進行二步法反應。例如:環氧樹脂(分子量1400,環氧當量970g/mol)100g和雙酚A 5g,在200℃下反應2h可以制得軟化點為130℃、分子量2900和環氧當量2000g/mol左右的樹脂。
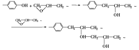
但是由于副反應的存在,生成物中含有支鏈結構,不僅環氧值偏低,而且溶解性很差,更有甚者反應中發生交聯反應。歧化反應方程式:
(一)催化劑的種類及其特性 為了解決這個問題科學家們積極地探索催化劑,促使環氧基和酚羥基在較低的溫度下開環反應,來抑制上述歧化反應的發生。至今可使用的催化劑有下列幾種無機堿、無機鹽、胺類、季銨鹽和三苯基膦衍生物等。 (1)無機堿、無機鹽無機堿和鹽是最早被人們采用的催化劑,其反應活性很大,代表品種為LiOH、LiCl、CaCl2。 氯化鋰用量≥0.02%,樹脂就會發生交聯,一般用量為雙酚A的60μl/L以下。其用量對產物軟化點的影響可用表1-7表示。
用無機堿、鹽作催化劑的優點是使反應產物的色澤很淺,但產物的熱穩定性和粘接性比較差。 (2)胺類、季銨鹽伯、仲、叔胺作催化劑,其優點是在130℃就發生反應,制得環氧當量為500左右的固體樹脂,以下配方和工藝可供參考: Epon 828 380g,雙酚A 114g;正丁基胺 1.59g。 先將環氧樹脂和雙酚A在120℃下混合均勻,隨后加入正丁基胺,在125℃下反應1h,可得到環氧當量為506的固體樹脂。如用叔胺作催化劑,按表1-8所列條件也能得到相同的結果。
六氫吡啶也可以作為催化劑,使環氧當量為500mol/g左右的固體樹脂和雙酚A反應制得環氧當量為1800~4000mol/g的高分子量環氧樹脂。 伯、叔胺作為催化劑的缺點是它們促使環氧基與環氧樹脂中的醇產生羥基反應。 季銨鹽是良好的催化劑,它所引起的副反應較小,可用來制備環氧當量為500~4000mol/g的各種固體樹脂,它的用量(以雙酚A為基準)為0.05%~0.5%(質量分數)。四甲基氯化銨是這種催化劑的典型代表。但它的缺點是生成的樹脂色澤偏深。 (3)三苯基膦及其衍生物三苯基膦、乙基三苯基溴化膦等都是很有效的催化劑。它們的優點在于對環氧基和酚羥基的反應有強選擇性。因此副反應少,產物的分子量分布窄。生成的高分子量環氧樹脂,即使在200℃以上高溫保持數小時,其環氧值、軟化點、溶液的黏度基本保持不變,且顯示了良好的熱穩定性。 這種催化劑在低分子量液體環氧樹脂呻有良好的溶解性和穩定性。如果含有三苯基膦衍生物的樹脂在50℃保溫5周的話,樹脂的環氧值基本上無變化。瑞士的CIBAGEIGY公司和美國的Dow Chemical Co.公司利用這些特性配制了一系列含不同含量三苯基膦衍生物的液體環氧樹脂作為商品,并且各自用這種催化劑制出性能優異的高分子量環氧樹脂。 (二)基礎樹脂對產物性能的影響 (1)基礎樹脂對分子量及分子量分布的影響基礎樹脂的分子量及分子量分布從理論上說,任何分子量的環氧樹脂都能與雙酚A反應生成更大分子量的環氧樹脂。但是,分子量越大的環氧樹脂,其分子量分布越寬。如果以此作基礎樹脂通過二步法制得的高分子量環氧樹脂分子量分布將會更寬,造成產品質量在很大范圍內波動。相反,分子量越小的環氧樹脂,分子量分布越窄,與雙酚A加成聚合后的產物的分子量分布相應來說處于一定范圍之內,因此質量相對穩定。表1-9為幾個酚醛樹脂品種分子量分布情況。
在國外先進的企業中絕大多數采用分子量最小的環氧樹脂作為基礎樹脂來合成固體樹脂,主要是為了盡量使分子量分布窄。 (2)基礎樹脂中雜質含量的影響低分子量環氧樹脂中由于金屬離子的混入,閉環反應得不完全,副產物的殘留使樹脂含有鈉離子、鉀離子、氯離子等。在合成高分子量環氧樹脂時這些雜質都會引起副反應,這給產品質量帶來影響。 ①漿鉀、鈉離子含量二步法合成固體樹脂所用的催化劑都呈堿性,樹脂中混雜的鉀、鈉離子含量達到50μl/L,就會使反應速度加快。可以認為,在鉀、鈉離子存在時,環氧基和羥基的反應是離子型的,通過烷氧離子進行反應,其反應式如下:
新產生的烷氧基可以打開第二個環氧基。 隨著樹脂中鉀、鈉離子含量的增多,反應會越來越快,以致失控而發生樹脂的交聯。 ②漿可水解的氯離子的影響如果用叔胺作為催化劑的話,樹脂中的可水解氯容易和叔胺形成絡合物使催化劑活性下降,從而影響反應完善程度。另外,可水解氯離子實質是樹脂中的氯醇醚,它在催化劑的作用下也會與環氧基進行反應,形成支鏈結構,其反應式如下:
這種支鏈結構達到一定量能使樹脂渾濁不清,甚至形成不能溶于溶劑的凝膠物。 從表1-10所列出的數據來看,隨著基礎樹脂中可水解氯值的增高,產物的實測環氧值與理論值之間的差值會越來越大。色澤也變深,溶解性變差,溶液透明度下降,因此控制基礎樹脂的可水解氯值是一個不可忽視的問題。
綜上所述,一步法和二步法合成固體環氧樹脂的化學反應是截然不同的兩種方法。它們的特點和局限性可從表1-11中明顯地看出。
環體的結構示意式如下:
其中ECH為環氧氯丙烷,BPA為雙酚A。 從經濟角度來分析,中等分子量的樹脂采用一步法來合成還是比較適宜的。反應時或后處理時用適當的溶劑來改善反應和提高洗滌效果,這種方法必將被普遍采用。 二步法是合成分子量2000以上高分子量環氧樹脂的最主要的方法。選擇高效催化劑和解決環體的生成問題仍是熱門的研究課題。 中等分子量固體環氧樹脂的連續合成方法近年來屢有報道,并在不少國家已經實現了工業化生產。但有關二步法合成固體高分子量環氧樹脂連續化生產方法和裝置的報道還很少,仍處于開發過程中。但可以預見* 在不久的將來就會實現工業化生產。我國在這方面的差距很大,需要引起足夠的重視。 |


















