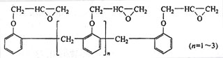
(六)酚醛環氧樹脂
酚醛環氧樹脂(EPN)又稱苯酚甲醛環氧樹脂,化學名稱線型酚醛多縮水甘油醚,由苯酚與甲醛在酸性介質中進行縮聚反應得到的線型酚醛樹脂,再與環氧氯丙烷在氫氧化鈉作用下縮聚而得,結構式為:
![]() 相對分子質量600,環氧官能度2.5~6.0。淺棕黃色高黏度液體或固體。EPN兼具酚醛樹脂的高耐熱性和環氧樹脂的高反應性,雙酚A環氧樹脂每個分子只有2個環氧基,而酚醛環氧樹脂平均每個分子有3.6個環氧基,固化后交聯密度高,因此,耐熱性、力學強度、耐介質性優于雙酚A型環氧樹脂,固化物熱變形溫度比雙酚A型環氧樹脂高50℃以上,可達175~200℃,以甲基納迪克酸酐為固化劑的固化產物,熱變形溫度高達299℃。高溫(170~260℃)固化的酚醛環氧樹脂具有很高的耐熱性。
國產牌號有F-44、F-51、F-54、F-46、F-48、NPPN-631、NPPN-638(臺灣南亞)等。
國外牌號有D.E.N431、D.E.N438、D.E.N439、D.E.R462U、D.E.R672U、XD7855、Araldite EPN 1138、EPN 1139、YDPN-638等。
日本開發了具有環氧基和丙烯酸酯基的酚醛環氧樹脂ENA和ENC,可雙重固化(先UV固化,再加熱固化)。
(七)鄰甲酚醛環氧樹脂
鄰甲酚醛環氧樹脂(ECN)化學名稱為線型鄰甲酚醛多縮水甘油醚,由鄰甲酚與甲醛在酸性介質中縮聚得到的鄰甲酚醛樹脂,再與環氧氯丙烷在氫氧化鈉存在下反應,又經多步驟后處理制得,結構式為:
![]() 相對分子質量540~1270。軟化點70~95℃。環氧當量200~230g/mol。
鄰甲酚醛環氧樹脂既有酚醛結構,又有環氧基團,反應活性低于EPN,但軟化點比EPN高。固化后交聯密度大,因此,耐高溫、強度高、絕緣好、收縮小、耐濕熱、耐腐蝕。固化物性能優于EPN,吸濕性1.5%,熱變形溫度可達210℃。
國產牌號有JF-43、JF-45、JF-46、YECN-195、YECN-200、NPCN-703、NPCN-704(臺灣南亞)等。
國外牌號有Ciba ECN 1235、Ciba ECN 1273、Ciba ECN 1280、Ciba ECN 1299、ESCN 220L、 ESCN 200S、YDCN-701、YDCN-701P、YDCN-702P、YDCN-702S、YD-704P等。
(八)間苯二酚甲醛環氧樹脂
間苯二酚甲醛環氧樹脂又稱間苯二酚甲醛四縮水甘油醚,由間苯二甲酚與甲醛縮聚的間苯二酚甲醛樹脂,再與環氧氯丙烷在氫氧化鈉作用下反應制得,結構式為:
![]() 橙黃色黏稠狀液體,環氧當量130~137g/mol,環氧值0.73~0.77mol/100g。具有多官能團、高環氧值、低有機氯等特點,能提高交聯程度、玻璃化溫度。固化產物具有優良的耐熱性、耐腐蝕性、電性能。以二氨基二苯甲烷固化后,熱變形溫度大于300℃。以70液體酸酐作固化劑固化,熱變形溫度高于200℃。
國產牌號有F-76等。
國外牌號有QX3472(Dow)等。
(九)四酚基乙烷環氧樹脂
四酚基乙烷環氧樹脂又稱四酚基乙烷四縮水甘油醚(t-PGEE),屬酚醛型環氧樹脂,由苯酚與乙二醛在酸性催化劑存在下反應制得的四酚基乙烷,再與環氧氯丙烷在氫氧化鈉催化下反應制得,結構式為:
![]() 室溫下為固體,軟化點75~80℃,環氧值0.45~0.50mol/100g,平均官能度3.2~3.5。耐熱性高,用均苯四甲酸二酐(PMDA)固化后,剪切強度室溫17.5MPa,316℃時1.8MPa。以酚醛樹脂固化的熱變形溫度203℃。DDS為固化劑的固化物T-235℃,250℃時剪切強度10MPa。
國外牌號有Epon 1031(Resolution)、YDG-414S(東都化成)等。
(十)711環氧樹脂
711環氧樹脂化學名稱為四氫鄰苯二甲酸二縮水甘油酯,結構式為:
![]() 淡黃色透明液體,環氧值0.58~0.66mol/100g。711環氧樹脂的特點是耐超低溫性好,在-253~-196℃時的剪切強度高于雙酚A型環氧樹脂;黏度低(25℃,350~700mPa·s),僅為E-51環氧樹脂的1/30~1/20,因而工藝性好;與其他環氧樹脂相容性好;透明性好,用間苯二甲胺50℃/2h固化的產物透光率可達85%;50℃/2h+110℃/3h固化可達79%。
國外牌號有Epikote E-190(Resolution)、S-540(日本)等。
(十一)731環氧樹脂
731環氧樹脂又稱鄰苯二甲酸二縮水甘油酯,還稱672環氧樹脂,結構式為:
![]() 淺黃色黏稠液體,環氧值0.60~0.65mol/100g。黏度(25℃)700~1000mPa·s。耐低溫性好,在-253~-196℃時仍有良好的力學性能,以二氨基二苯甲烷為固化劑粘接鋁的剪切強度, -196℃時為34.8MPa、23℃時為27.9MPa。以三乙烯四胺為固化劑粘接鐵的剪切強度比E-51環氧樹脂高約50%。耐候性優于雙酚A型環氧樹脂,但耐水、耐堿、耐酸和耐熱性差。
國外牌號有ED-566(美國)、S-500,S-508(日本)等。
(十二)732環氧樹脂
732環氧樹脂化學名稱為間苯二甲酸二縮水甘油酯(DGEPA),結構式為:
![]() 白色固體粉末,環氧值0.60~0.63Mol/100g。軟化點60~63℃。與雙酚A型環氧樹脂相容性好,固化物具有優良的物理力學性能,在-196℃時粘接鋁的剪切強度為29.0MPa(固化劑為二氨基二苯甲烷)。
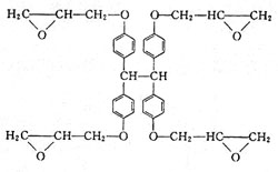
(十三)AG-80環氧樹脂
AG-80環氧樹脂為含氮環氧樹脂,化學名稱為4,4′二氨基二苯甲烷四縮水甘油胺,簡稱TGDDM,結構式為:
![]() 紅棕色至琥珀色黏稠液體。環氧當量117~134g/mol,環氧值0.75~0.85mol/100g。四縮水甘油胺型環氧樹脂的特點是多官能度、黏度低、活性高、粘接性強,固化產物交聯密度大、收縮率低,具有優異的力學性能、耐熱性和耐腐蝕性,但耐濕熱性較差。活性是雙酚A型環氧樹脂的10倍,叔胺對環氧基開環有促進作用。以二氨基二苯砜作固化劑固化,拉伸模量為3.7GPa,熱膨脹系數5.7×10-5K-1,耐熱性高,Tg約246℃。三氟化硼-單乙胺可加速固化反應。
國外牌號有TETRAD-Y型、Araldite MY720和MY 721、YH-434和YH-434L(東都化成),Sumiepoxy ELM434等。
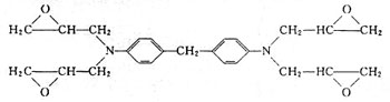
(十四)AFG-90環氧樹脂
AFG-90環氧樹脂又稱對氨基苯酚環氧樹脂(TGPAP)、三縮水甘油基對氨基苯酚,結構式為:
![]() 紅棕色黏稠液體,環氧值≥0.85mol/100g漿。黏度(25℃)1200~2500mPa·s。
AFG-90環氧樹脂反應活性大,約為雙酚A型環氧樹脂的10倍,固化速度非常快,選擇固化劑和固化條件時應特別注意,以防放熱過大,引起冒煙和炭化。芳香胺在比較高的溫度或有催化劑如三氟化硼-單乙胺和芳香胺共同使用時,會發生凝膠現象。各種芳香胺對AFG-90的固化速度為:間苯二胺>漿二氨基二苯甲烷>二氨基二苯醚>二氨基二苯砜。可用雙氰胺或三級胺的衍生物作為固化劑,所得的固化產物交聯密度較大,耐熱性高。AFG-90環氧樹脂適用期長。室溫固化7天后拉伸強度為65.7MPa,彈性模量3.3GPa,伸長率3.4%,熱變形溫度234℃,體積電阻率3×1016Ω·cm,介電常數3.3~3.5。可用于配制耐高溫(200℃)環氧樹脂膠黏劑。Tg220℃。
國外牌號有ERL-0500、ERL-0510(UCC公司),MY-0500、MY-0510(Ciba Geigy公司),Epikote630,yri-610(俄羅斯)等。
(十五)三聚氰酸環氧樹脂
三聚氰酸環氧樹脂又稱異三聚氰酸三縮水甘油酯、異氰尿酸三縮水甘油酯,簡稱TGIC,結構式為:
![]() 商品樹脂是三聚氰酸縮水甘油醚與異三聚氰酸三縮水甘油胺的混合物。粗品為琥珀色黏稠液體,純品為白色結晶粉末。環氧值0.90~0.99mol/100g。熔點范圍85~115℃。透明性好,且不易變色,與雙酚A環氧樹脂和其他樹脂相容性優良。
三聚氰酸環氧樹脂的反應活性比雙酚A型環氧樹脂高,通常用酸酐作為固化劑,加熱固化,交聯度大,具有優異的耐高溫性、粘接性、化學穩定性、耐紫外光老化性、耐候性、阻燃性和耐電弧性。200℃熱老化3000h,強度基本不變。固化物硬而脆,需要增韌。
國產牌號有A-95、695、RD101等。
國外牌號有PT810(Ciba)。
(十六)TDE-85環氧樹脂
TDE-85環氧樹脂化學名稱為4,5-環氧環己烷-1,2-二甲酸二縮水甘油酯,結構式為:
![]() 淺黃色透明黏性液體,環氧值≥0.85mol/100g(TDE-90≥0.90mol/100g)。黏度(25℃)1600~2000mPa·s。
TDE-85環氧樹脂是一種分子結構中含有1個脂環族環氧基和2個縮水甘油酯基的3官能度環氧樹脂,兼有脂環族環氧和縮水甘油酯的雙重特性,又稱為混合型環氧樹脂。因存在高反應活性的縮水甘油酯基,故反應活性比一般的脂環族環氧樹脂大,環氧值較高,黏度較低(約為E-51環氧樹脂的1/10~1/5),與固化劑混溶性好,可采用脂肪族和芳香族胺類、酸酐及咪唑類作為固化劑。固化產物熱穩定性好,以間苯二胺固化的馬丁耐熱溫度為180℃,而以70液體酸酐固化的馬丁耐熱溫度為156℃。以2-乙基-4甲基咪唑固化的產物具有較高的剪切強度,可達35~50MPa。具有耐高溫、高強度、高剛性、耐天候、耐低溫和電絕緣好等優良特性,特別是高溫粘接性更為突出。用于配制環氧樹脂耐高溫結構膠黏劑,150℃下剪切強度達17.5~22.5MPa,約為雙酚A型環氧樹脂的6~8倍,T形剝離強度提高50%,200℃時強度保持率為87%。
(十七)脂環族環氧樹脂
脂環族環氧樹脂又稱脂環族二環氧化物,是含有2個脂環環氧基的低分子化合物,環氧基是由不飽和脂環化合物的雙鍵以過氧化物(如過氧乙酸)氧化形成的,結構式為:
![]() 雖然本身并不是聚合物,但與固化劑反應后則能生成體型結構聚合物。由于環氧基直接連在脂環上,決定了脂環族環氧樹脂反應活性小于雙酚A型環氧樹脂,胺類固化劑基本不能使其固化(300和400即W-95例外)。又因分子結構中不存在羥基,與酸酐的固化反應也很慢,加入少量醇可以促進固化反應進行。
脂環族環氧樹脂黏度低,環氧當量小,交聯密度大,再加上存在熱穩定性的剛性脂環,因此,耐熱性佳,固化收縮小,力學強度高,耐腐蝕性好,但韌性差,脆性大。根本不含氯和鈉離子,電性能優異,耐電弧性及漏電痕跡性良好。因分子結構不含苯環,沒有很強的生色基團,故耐紫外光、耐輻射及耐候性好,適宜戶外使用。脂環族環氧樹脂的類型及性能如表2-4所示。
![]() 由H-71(201)環氧樹脂/順酐/乙二醇/BF3-MEA=100/17.3/1.82/1.0組成的體系,25℃/2~10min凝膠,25℃/15~20min+160℃/6h固化后,熱變形溫度達200℃,具有良好的耐堿性和耐沸水性。201和221脂環族環氧樹脂在現有環氧樹脂中熱膨脹系數最小,以其配制的環氧膠黏劑非常適宜金屬與塑料之間的粘接。
R-122(207)環氧樹脂的兩個環氧基之間是緊密的雙環結構,采用酸酐固化劑并添加少量多元醇(如丙三醇等),經90℃/4h+120℃/2h+160℃/6h+200℃/6h固化后,形成交聯密度大、結構緊密的剛性固化物,熱變形溫度高達300℃以上,并有較高的強度和很好的耐候性。由于R-122環氧樹脂中兩個環氧基所連接的脂環不同,其活潑性有很大差異,據此特性可制得B階207環氧樹脂,能用于制備耐高溫的粉末環氧膠黏劑。
W-95(300、400)環氧樹脂中兩個脂環以醚鍵連接,使環氧基處于缺電子狀態,易受親核試劑進攻,不僅能用酸酐固化,且也能用胺類固化(有別于一般的脂環族環氧樹脂),常用芳香胺固化劑,如間苯二胺、二氨基二苯甲烷等。但咪唑不能固化W-95環氧樹脂,可能是空間位阻效應的影響。因W-95環氧樹脂的脂環由醚鍵所連接,同時結構對稱性好,致使固化物有一定韌性。其結果是固化后W-95環氧樹脂具有高強度、高耐熱、高伸長率,強度比雙酚A型環氧樹脂高約50%,熱變形溫度超過200℃。
美國推出一種新型具有憎水性優良的脂環族環氧樹脂(HCEP)。
脂環族環氧樹脂因可與不潔表面甚至帶油金屬表面形成化學鍵而有較高的粘接強度,粘接效果明顯優于縮水甘油醚類環氧樹脂,在粘接技術應用中確有獨到之處。
有些脂環族環氧樹脂,如269、206、221、289等是環氧樹脂很好的稀釋劑,隨著用量增加,體系黏度顯著降低,但熱變形溫度幾乎是恒定的,力學性能也不降低,這是一般環氧稀釋劑無可比擬的。其中269、206都是高沸點、低黏度液體,即使溫度低于-60℃仍保持液體狀態。
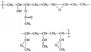
(十八)聚丁二烯環氧樹脂
聚丁二烯環氧樹脂又稱環氧化聚丁二烯樹脂,型號為D-17,俗稱2000#環氧樹脂、62000環氧樹脂,以液體聚丁二烯用過氧乙酸環氧化制得,結構式為:
![]() 相對分子質量800~2000(低黏度);1500~2000(高黏度)。淡黃色至琥珀色黏稠液體,環氧值0.43~0.56mol/100g,羥基含量2%~3%。由于分子結構中沒有苯環、脂環、雜環,除含有環氧基、羥基、酯基側鏈外,還含有不飽和鍵,因此不僅通常的固化劑能使其固化,而且烯類單體在過氧化物引發下亦可進行交聯。例如2000。環氧樹脂/順酐/苯乙烯/對苯二酚/1,3-丙二醇/過氧化苯甲酰=100/35/35/0.2/8/0.5體系,經80℃/2h+120℃/2h+150℃/12h固化后,拉伸強度38.5MPa,彎曲強度97MPa,沖擊強度7.5kJ/㎡,鋁/鋁粘接剪切強度19.6MPa。固化物具有良好的耐熱性,熱變形溫度達200℃以上,高溫下強度保持率很突出。以2000#環氧樹脂5%~30%、E-51環氧樹脂95%~70%、低分子聚酰胺、改性胺固化劑等可配成室溫固化耐化學品及耐水環氧膠黏劑,粘接鋼板,室溫/24固化后剪切強度21MPa。又如2000#環氧樹脂/順酐/丙二醇=100/31/8.0(質量份)體系,經80℃/2h+120℃/2h或150℃/2h+200℃/2h固化后,熱變形溫度達250℃。聚丁二烯環氧樹脂固化物耐熱性好,耐候性及電性能優異,不足之處是固化收縮率較大。
國產牌號有2000#環氧樹脂、62000環氧樹脂、D-17型環氧樹脂。
國外牌號有Oxiron 2000、Oxiron 2001、Oxiron 2002、A20-75。 環氧樹脂 - www.ytfilter.com -(責任編輯:admin) |














