環氧樹脂是指1個分子結構中至少含有2個環氧基(
),以脂肪族、脂環族或芳香族鏈段為主鏈的低聚物。有液體和固體狀態,平均相對分子質量300~8000,為熱塑性線型結構。室溫和通常加熱條件都不會固化,因此,一般不能單獨直接使用。只有加入固化劑固化后,使之交聯形成網狀體型結構,才會顯示出各種優異的性能,具有真正的使用價值。 一、環氧樹脂的分類
環氧樹脂的種類很多,且在不斷地增加。對于環氧樹脂的分類型號及命名,我國早已有了國家標準(GB/T 1630—1989),其分類與代號見表2-1。
關于環氧樹脂的型號規定如下。
①環氧樹脂是以1個或2個漢語拼音字母與2位阿拉伯數字作為型號,表示類別及品種。
②型號的第一位采用主要物質組成名稱,取其主要組成物質漢語拼音的第1個字母,若遇相同則取第2個字母,以此類推。
③第二位是組成中若有改性物質,則也用漢語拼音字母表示。若未改性則標記“_”。
![]() ④第三位和第四位是標志出該產品的主要性能環氧值的算術平均值。
![]() 示例:某牌號環氧樹脂以二酚基丙烷為主要組成物質,其環氧值為0.48~0.54mol/100g,則其算術平均值為0.51,該環氧樹脂的全稱為“E-51環氧樹脂”。
二、環氧樹脂的性能指標
環氧樹脂的性能指標包括外觀、環氧值與環氧當量、羥基值、氯含量、軟化點、黏度、揮發物、熱變形溫度、平均相對分子質量及其分布等,這些指標將直接影響工藝性能和固化物的物理力學性能。
(1)外觀與色澤 隨相對分子質量的變化而改變其外觀狀態,從低黏液體變為半固態直至固體,為便于固體環氧樹脂溶解還做成薄片狀。環氧樹脂無論相對分子質量大小都是透明的,因制造工藝不同而呈五色或淡黃色。
(2)環氧當量與環氧值 環氧當量(EEW)表示每一個環氧基團相當的環氧樹脂的質量,或者說是含1mol環氧基的環氧樹脂的質量(g),即
![]() 環氧值表示100g環氧樹脂中含有環氧基的物質的量(mol),即
![]() 環氧值愈大,相對分子質量愈小,黏度愈低。美國、歐洲、日本等國常用環氧當量,而中國習慣用環氧值。環氧值(或環氧當量)是環氧樹脂的重要質量指標,它決定著固化劑用量的多少和固化產物的性能。
環氧基質量分數(環氧基含量)是指每100g環氧樹脂中含有環氧基的質量(g),單位為%,在俄羅斯和東歐各國慣用。環氧基(
)的相對分子質量為43。環氧基質量分數=環氧基相對分子質量×環氧值
環氧當量、環氧值和環氧基質量分數三者之間的關系為:
環氧當量=100/環氧值=43/環氧基質量分數
(3)羥值與羥基當量 羥值表示100g環氧樹脂中所含羥基的摩爾數,羥基當量則表示含有1mol羥基的環氧樹脂的質量。它們之間的關系為:羥值=100/羥基當量。
羥值也是決定固化劑用量的一個指標。
(4)氯含量 表示100g環氧樹脂中含有氯的摩爾數,國外常用質量分數(%)表示。氯在環氧樹脂中以無機氯和有機氯的形式存在,其中有機氯又分為可水解氯(活性氯、易皂解氯)和不可水解氯(非活性氯)。氯含量影響環氧樹脂固化物的電氣性能和耐水性,無機氯的影響更為顯著。
(5)黏度 環氧樹脂的黏度是與使用工藝有關的一項重要指標,黏度的大小隨溫度不同而改變。液態雙酚A環氧樹脂的黏度和固態雙酚A環氧樹脂的溶液黏度都隨平均相對分子質量的增加而增大,且隨相對分子質量分布的減小而降低。
(6)軟化點 固體環氧樹脂變軟或發黏的溫度稱為軟化點,一般隨環氧樹脂的相對分子質量的增加而升高。因環氧樹脂是聚合度不同的低聚物,故沒有明確的熔點,只有熔融的溫度范圍,因而稱為軟化點。
(7)揮發分 環氧樹脂制造過程所用溶劑、水分的殘留或少量小分子環氧化物的生成,都會使樹脂有一定量的揮發分,對膠黏劑性能十分不利,能造成粘接制品起泡或氣子乙等弊端。揮發分常用質量百分數表示。
(8)平均相對分子質量及其分布 由于環氧樹脂是不同聚合度的同系分子的混合物,故相對分子質量大小具有統計性,為平均值,且有分散性,存在分布問題。環氧樹脂平均相對分子質量大小和分布的寬窄,都對其性能有很大的影響。例如相對分子質量低的環氧樹脂能溶于脂肪族和芳香族溶劑,而相對分子質量高的環氧樹脂只能溶于酮類和酯類等強溶劑。又如平均相對分子質量相同而相對分子質量分布較窄的環氧樹脂,其軟化點就高,反之亦然。對于未支化端基為環氧基的雙酚A型環氧樹脂,其平均相對分子質量約為環氧當量的2倍。
三、環氧樹脂的品種
(一)雙酚A型環氧樹脂
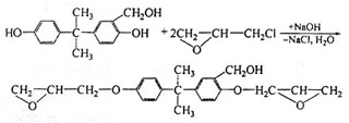
雙酚A型環氧樹脂又稱雙酚A二縮水甘油醚(DGEBA),中國定名為E型環氧樹脂,由雙酚A(BPA或DPP)與環氧氯丙烷(ECH)在氫氧化鈉催化下縮聚反應而得,實際上是不同相對分子質量的混合物,其通式如下:
![]() 目前所用的環氧樹脂有85%以上屬于雙酚A型環氧樹脂。表2-2列出了E型環氧樹脂的品種及性能。與國外同類產品牌對照列于表2-3。
![]() ![]() (二)雙酚F型環氧樹脂
雙酚F型環氧樹脂是由雙酚F(BPF)與環氧氯丙烷在氫氧化鈉作用下進行縮聚反應制得的液態雙酚F二縮水甘油醚(DGEBF),結構式為:
![]() 無色或淡黃色液體,環氧當量160~180g/mol,環氧值0.56~0.63mol/100g。其特點是黏度低,雙酚A型環氧樹脂黏度為(25℃)5000~25000mPa·s,而低相對分子質量的DGEBF黏度2000~5000mPa·s。使用時可不加或少加稀釋劑,因此在日本被稱為“無公害或少公害的樹脂”。其固化物性能與雙酚A型環氧樹脂大體相同,只是熱變形溫度(HDT)稍低,但耐沖擊性、耐腐蝕性都優于雙酚A型環氧樹脂。也可合成出固體雙酚F型環氧樹脂。工業級雙酚F環氧樹脂可能含有少量支鏈結構。
國產牌號有CYDF-170、CYDF-180、NPEF-170(臺灣南亞)、6445、6458等。
國外牌號有D.E.R.354LV,D.E.R.354(Dow Chem公司),YDF-170、YDF-1755、YDF-2001、YDF-2004、YDF-8170(日本東都化成公司),EP-4901、EP-4901E、EP-4930、EP-4950(日本旭電化公司),XU-GY281、XB-3337(Ciba-Geigy),Epikote 235、862、1750(Shell),Epiclon 830、830S、830LVP、835LV(大日本油墨),RE-303S、RE-404S(日本化藥),807、806、1750、YL983U(日本油化)。
(三)雙酚S型環氧樹脂
雙酚S型環氧樹脂又稱雙酚S二縮水甘油醚(DGEBS)由雙酚S(BPS)與環氧氯丙烷在堿性條件下反應制得,結構式為:
![]() 由于引入了—SO2—極性基團,比雙酚A型環氧樹脂有更好的粘接性能、熱穩定性、韌性和較好的化學穩定性。雙酚S型環氧樹脂耐熱性好,熱變形溫度比雙酚A型環氧樹脂提高60~70℃。固化物的玻璃化溫度高,DGEBS/苯酐體系完全固化后的Tg為117℃,而DGEBA/苯酐體系的Tg為82℃。DGEBS比DGEBA的熱裂解開始溫度和終止溫度都高出50℃。在DGEBA中即使加入1份DGEBS也會使Tg升高10℃。DGEBS熱穩定性好,260℃/200h失重小于5%;200℃/2000h失重小于2%。雙酚S型環氧樹脂加入固化劑后,其凝膠和固化速度較快,固化物尺寸穩定,耐溶劑性好。比雙酚A環氧樹脂有更高的彎曲強度、壓縮強度和熱穩定性。
雙酚S型環氧樹脂產品有低相對分子質量和高相對分子質量兩種,低相對分子質量DGEBS為白色或淡黃色結晶粉末,環氧當量185~195g/mol,軟化點165~168℃,國外牌號185S(美國康普頓)。高相對分子質量DGEBS為淡黃色無定形固體,環氧當量300g/mol,軟化點91~94℃,國外牌號有300SS(美國康普頓)。
(四)氫化雙酚A型環氧樹脂
氫化雙酚A型環氧樹脂又稱雙酚H型縮水甘油醚,由雙酚A加氫得到的氫化雙酚A(HBPA)與環氧氯丙烷(ECH)在堿性催化下縮合反應制成,結構式為:
![]() 液態產品為淡黃色透明液體,環氧值0.40~0.45mol/100g。其特點是黏度(25℃)低(1000~4000mpa·s),與雙酚F環氧樹脂相當,但凝膠時間長,約為雙酚A型環氧樹脂的2倍多。氫化雙酚A環氧樹脂固化物的耐候性優異,耐電弧性、耐漏電痕跡性很好,特別適宜配制耐久性戶外用環氧膠黏劑。HBPA環氧樹脂與固化劑、增韌劑等組成的固化物,經1000h日光老化后,拉伸強度由54.2MPa下降為47.0MPa,變化率僅13.3%。
國產牌號有AL-3040(煙臺奧利福),NPST-1000、NPST-5100(臺灣南亞),JET-300、JET-300S、JET-3000(常熟佳發),LZY-40(上海理億)等。
國外牌號有Epon X1510(Resolution),ST-1000、ST-3000、ST-5080(軟化點78~88℃)、5100(軟化點95~105℃)(東都化成),ADK EP-4080、EP-4081、EP-4085(旭電化),HBPA(新日本化學),VE2025(德國)等。
(五)羥甲基雙酚A型環氧樹脂
羥甲基雙酚A型環氧樹脂又稱羥甲基環氧樹脂,化學名稱為鄰羥甲基雙酚A型二縮水甘油醚,由羥甲基雙酚A與環氧氯丙烷在堿性催化劑存在下反應制得,反應式為:
![]() 淡黃色透明液體,環氧值0.42~0.49mol/100g,黏度(25℃)25000~60000mPa·s。羥甲基環氧樹脂活性大,而二羥甲基雙酚A型二縮水甘油醚活性更大,是雙酚A型環氧樹脂的20倍,能室溫快速固化或負溫(-10~-5℃)下固化。羥甲基環氧樹脂以二乙烯三胺為固化劑,其固化速度比雙酚A型環氧樹脂快10倍,固化產物馬丁耐熱135℃。國產牌號有712、EL-50、CEQ-45。國外牌號有美國的Apogen101。 環氧樹脂 - www.ytfilter.com -(責任編輯:admin) |

),以脂肪族、脂環族或芳香族鏈段為主鏈的低聚物。有液體和固體狀態,平均相對分子質量300~8000,為熱塑性線型結構。室溫和通常加熱條件都不會固化,因此,一般不能單獨直接使用。只有加入固化劑固化后,使之交聯形成網狀體型結構,才會顯示出各種優異的性能,具有真正的使用價值。



)的相對分子質量為43。





