一、特種環氧樹脂
(1)高純度 在電氣、電子工業中,對環氧樹脂正式提出高純化是比較近期的事情。眾所周知,在電氣和電子領域內,輕、薄、短、小的發展趨勢很快,對于在各種元件中使用的高分子材料,元件雖小型化和高集成化,但要求必須達到與以前制品同樣的可靠性。同時,還要選擇兼有大量生產性的材料。這對于在電氣和電子領域中大量應用的環氧樹脂來說,對性能的要求比以前提高了很多,尤其是用于半導體的包封材料,對性能的要求更為嚴格。對用于包封的環氧樹脂材料,除要求速固性、低應力和耐熱性外,還要求高純度化。
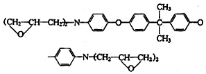
在環氧樹脂中,其主要雜質是以有機氯為端基的不純物,如圖2-1所示。從制造工藝上講做到完全消除雜質不純物是困難的。提出環氧樹脂高純度化的理由是:環氧樹脂中雜質(如Na+、Cl-等),特別是因為可水解氯離子的析出,在水分的作用下,加速了管芯中鋁引線的腐蝕,使電子元器件制品的壽命受到惡劣影響。用于半導體包封的環氧樹脂,主要是鄰甲酚酚醛環氧樹脂。各生產廠家爭先恐后地推出此種類型的高純度化的樹脂。表2-3給出等級不同的產品,是日本已商品化的品種,目前日本各公司開發的高純度樹脂的水平大體相同,在質量指標方面已達到無甚差別的程度。
另外,環氧樹脂在電氣、電子領域,除用于元器件包封料之外,還廣泛用于粘接劑方面。對于管芯的粘接,由于高集成化提高了可靠性,與半導體包封料一樣,也要求高純度、高質量的樹脂。但是,用于膠黏劑方面的環氧樹脂不同于半導體包封料所用的固態環氧樹脂,而是使用液態環氧樹脂。對于雙酚A型環氧樹脂的高純度化,有的公司采用再結晶的方法進行提純。但再結晶法成本高(收率低)以及熔點接近室溫,再結晶操作困難,因此,目前多對改進環氧樹脂制造工藝條件進行探討,如控制反應條件和后處理洗凈等。目前已有幾種液態高純度環氧樹脂上市。
![]() 表2-4列出液態高純度環氧樹脂的典型例子,表中所舉的品種為油化殼環氧公司所生產的液態高純度環氧樹脂,它們分別為雙酚A型和雙酚F型,目前已市售。從分類上,它們可分為高純度品和超高純度品。
![]() ①高純度品為可水解氯含量約為200~300mg/kg的制品。
②超高純度品為可水解氯含量約為100mg/kg或在150mg/kR以下的制品。不管是哪種高純度品,與通用的液態樹脂相比,固化物在耐水性和耐高壓蒸煮性(PCT)方面,均有大幅度的改善,在要求可靠性的應用方面,使用壽命確實提高了。
目前市售的環氧樹脂已經除去了游離的Na+、Cl-離子,實用上是不成問題的。問題是由于合成時的副反應,在水存在下可水解游離出Cl-離子的有機氯雜質(可水解氯),因此對IC的可靠性影響很大。
因此,問題在于如何合成可水解性氯含量低的高純度樹脂。下面介紹幾種制造低氯含量的高純度環氧樹脂的方法:
a.使精制工藝最佳化(溶劑、溫度);
b.使反應條件最佳化(除鹽法,如NaOH法);
c.用有機銀處理(Ag+Cl-→AgCl↓);
d.利用電泳處理;
e.不使用環氧氯丙烷。
目前世界上含可水解氯600mg/kg左右的通用型環氧樹脂只能適應64k存儲單元的存儲程度,對256k存儲單元的存儲程度,必須使用高純度環氧樹脂。在未來的1M存儲單元時代,將要使用超高純度環氧樹脂。可以預料,今后還將繼續進行高純度品種化的研究。
(2)高功能化 IC封裝用的環氧樹脂除了要求高純度化之外,隨著高集成化封裝的大型、薄殼化,目前要求解決的是低應力比、耐熱沖擊和低吸水性,為此出現了許多新結構的環氧樹脂和改性方法。
低二聚體鄰甲酚甲醛環氧樹脂,減少其含量,可以降低熔融黏度,有利于大面積IC的封裝,提高固化產物的Tg,使之具有高的耐熱性。
(3)高耐熱性能
①以下列通式的苯胺和環氧氯丙烷反應生成的氨基四官能環氧樹脂作為封裝用模塑料的組分,能提高固化產物的耐熱性。
![]() 典型的樹脂結構為:
![]() ②雙酚A或溴化雙酚A和甲醛縮合產物和環氧氯丙烷反應生成下列典型環氧樹脂,作為模塑料的原料比鄰甲酚甲醛環氧樹脂反應活性高。該樹脂用酚醛型樹脂固化后產物的Tg要提高10℃。
![]() (4)低吸濕化
①苯酚和丙烯醛或其他長碳鏈的醛縮聚產物和環氧氯丙烷反應生成的環氧樹脂作為封裝用模塑料的原料,可以改善材料的吸水性。樹脂的通式如下:
![]() ②將α-萘酚引入到線型酚醛環氧樹脂中,由于萘骨架的存在,耐水性、耐熱性都有提高。
![]() ③二甲苯骨架引入到線型酚醛環氧樹脂中,可以取得不降低耐熱性的情況下,提高耐水性的效果。
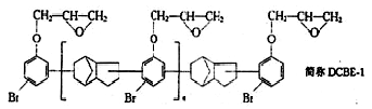
④以雙環戊二烯和溴化苯酚加成聚合物為主鏈的環氧樹脂作為封裝用模塑料的原料,呈現出低的吸水率。
![]() DCBE-1和溴化鄰甲酚甲醛環氧樹脂簡稱PNBE-1,同樣用酚醛樹脂固化后其固化產物的各項性能比較如表2-5。
![]() (5)低應力化 另外一個技術動態是低應力化的動向。隨著匯的集成度的提高、芯片尺寸的大型化和布線的微細化,固化環氧樹脂與硅元件熱膨脹系數不同而產生的應力將造成破壞。
內部應力發生的原因如下:模塑料固化收縮同硅片熱收縮有差異,即二者線膨脹系數不同,一般模塑料比硅片、引線的線膨脹系數要大一個數量級,在成型加熱到冷卻至室溫過程中必然在硅片上殘留應力。
熱應力可以用下式來表示:
σ=K·E·α·△T
式中 σ———熱應力;
K———常數;
E———彈性模量;
△T———模塑料Tg和室溫的差;
α———熱膨脹系數。
從該公式中可以看出降低樹脂的彈性模量和Tg,是減少熱應力的有效途徑。
這里介紹下列可使樹脂本身低應力化的方法:
①各種烷基苯酚共縮合的線型酚醛的環氧化;
②含有比—CH2—更長鏈的基的酚類縮合物的環氧化;
③鄰甲酚線型酚醛型環氧樹脂與含有活性端基彈性體的加成物。
圖2-2是有機硅橡膠改性環氧樹脂的動態力學曲線。
![]() 從圖2-2可見,有機硅橡膠可以明顯降低環氧模塑料的動態彈性模量。
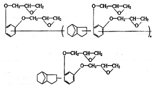
用間苯二酚和雙環戊二烯的聚合物進行環氧化,可生成如下結構的樹脂:
![]() 這種樹脂的固化產物應力比標準鄰甲酚甲醛環氧樹脂小得多。 環氧樹脂 - www.ytfilter.com -(責任編輯:admin) |











