三、纖維纏繞規律
纖維纏繞規律是研究繞絲嘴與芯模之間相對運動關系的規律,使紗帶能均勻排布在芯模表面。國外雖在雜志上有照片報道,但沒有如何能纏繞出規律線型的文字資料。1965年我國揭示了纖維纏繞規律,提出了兩種計算方法,即“切點法”和“標準線法”。
纏繞規律是保證纖維纏繞制品質量的技術關鍵,是制品強度設計和纏繞機運動機構設計的依據。根據纖維在芯模上的排列狀況,纏繞線型歸納為環向纏繞、縱向纏繞和螺旋纏繞三種。
(1)環向纏繞 環向纏繞是芯模繞自身軸線勻速旋轉,繞絲嘴沿芯模簡體軸線平行方向移動,芯模每轉一周,繞絲嘴移動——個紗片寬度,如此循環下去,直到紗片均勻地布滿芯模簡體段表面為止。環向纏繞線型如圖3-12所示。環向纏繞只能在筒身段進行,只提供環向強度。環向纏繞的纏繞角(纖維方向與芯模軸夾角)通常在85°~90°之間,環向纏繞參數關系圖如圖3-13所示,其計算公式如下:
W=πDcotα
B=πDcosα
式中 W———紗片螺距;
b———紗片寬度;
D———芯模直徑;
α———纏繞角。從圖3-13中得出,當纏繞角小于70°時,紗片的寬度要求比芯模直徑還大,這是不可能的,因此環向纏繞時,纏繞角必須大于85°,小于90°。
![]() (2)縱向纏繞 縱向纏繞又稱平面纏繞。纏繞時,纏繞機的繞絲嘴在固定的平面內做均勻速圓周運動,芯模繞自身軸線慢速旋轉,繞絲嘴每轉一周,芯模旋轉一個微小角度,相當于芯模表面上一個紗片寬度。紗片與芯模軸的夾角稱為纏繞角,其值小于25°。紗片依次連續纏繞到芯模上,各紗片均與兩極孔相切,各紗片依次緊挨而不相交。纖維纏繞軌道近似為一個平面單圓封閉曲線。平面纏繞基本線型如圖3-14所示。由圖3-14可知,纏繞角。為
![]() 式中,r1,r2,為兩封頭的極孔半徑;Lc為筒身長度;Le1,Le2為兩封頭高度。
若兩封頭極孔相同(即r1=r2=r),封頭高度相等(即Le1=Le2=Le)則
![]() 平面纏繞的速比i縱為芯模轉速Zm和單位時間繞絲嘴旋轉次數n的比值,若紗片寬為b,纏繞角為α,則速比為
![]() 平面纏繞適用于球形、橢球形及長徑比小于1的短粗筒形容器生產。平面纏繞容器頭部纖維有嚴重架空現象,為了減少纖維架空對制品質量的影響,一般在纏繞不同層次時,使纏繞角α值在一定范圍內變化,以分散纖維在端頭部的堆積。
![]() (3)螺旋纏繞 螺旋纏繞的特點是:芯模繞自身軸線均勻轉動,繞絲嘴沿芯模軸線方向按纏繞角所需要的速度往復運動。螺旋纏繞的基本線型是由封頭上的空間曲線和圓筒段的螺旋線所組成(見圖3-15)。螺旋纏繞纖維在封頭上提供經緯兩個方向的強度,在筒身段提供環向和縱向兩個方向的強度。
纏繞纖維與芯模旋轉軸線相交的夾角,稱為纏繞角。,當纏繞角近90°時,實際上完成的是環向纏繞,亦稱高纏繞角螺旋纏繞。一般螺旋纏繞的纏繞角控制在15°~85°之間,此時繞絲嘴完成一個單程后的紗帶與下一單程纏繞的紗帶不再相切,而留下很大縫隙。要使纖維均勻布滿芯模表面,就必須讓繞絲嘴多次往復移動(紗帶的軌跡是單頭或多頭螺旋線),才能填滿這些縫隙。往復的螺旋線纏繞紗帶,在芯模上相互交叉,當纖維均勻布滿芯模表面時,就構成了雙層平衡纖維殼,所以螺旋纏繞的層數總是偶數。
從連續纖維螺旋纏繞規律中發現,纖維繞過極孔圓時,要與極孔圓相切,而在筒身段,同一層中的纖維,有交叉現象。因此,可以通過用出現在封頭極孔圓上的切點數和出現在筒身段部分的交叉點及交叉點連線(亦稱交帶)的數用來表征螺旋纏繞的線型特點和規律。分析螺旋纏繞規律的方法有“切點法”和“標準線法”兩種。切點法是通過纏繞線型在極孔圓上對應切點的分布規律,找出芯模轉角、線型和速比之間的關系。標準線法是從芯模表面的標準線出發,找出制品尺寸與繞絲嘴及芯模相對運動的關系,兩種方法可以得出完全一致的結果。
(4)切點法纏繞規律
①線型 是連續纖維纏繞在芯模表面上的排布形式。用切點法描述螺旋纖維纏繞規律,就是研究線型與切點數和分布規律。
a.纖維在芯模表面均勻布滿的條件
(a)一個完整循環的纖維螺旋纏繞概念,在纏繞過程中,纖維由芯模上的某點開始,經過若干次往復纏繞后,又纏回到起始點上,這樣在芯模上完成的一次(不重復)布線,就是一個完整循環。一個完整循環的纖維軌跡,稱為標準線。要使纖維均勻地布滿芯模表面,需要若干條連續纖維纏繞形成的標準線構成。標準線的排布形式,包括切點、交叉點、交帶及分布規律,充分反映了全部纏繞纖維的排布規律。
(b)切點數和分布規律。螺旋纏繞的紗片,在完成一個完整循環時,在芯模極孔圓周上只有一個切點,稱單切點。而在一個完整循環中有兩個以上切點的,稱多切點。由于芯模勻速旋轉,繞絲嘴每次往返時間相同,故在極孔圓周上的各切點,將等分極孔圓周。單切點與雙切點的排布如圖3-16所示。
![]() 當切點數,n≥3時,在與起始切點位置緊挨的切點出現以前,在極孔圓周上已出現,n≥3個切點。多切點線型在完成一個標準線型纏繞期間,相繼出現的任意兩個切點,可以依次排列,也可以間隔排列。當n=3、n=4、n=5時,其切點排列順序如圖3-17所示。
(c)纏繞纖維在芯模表面均布的條件。由于芯模上的每條紗片都對應著極孔圓上一個切點,所以只要滿足以下兩個條件就可以經若干個完整纏繞循環,使紗片一片挨一片的均布芯模表面:一個完整循環的諸切點等分芯模轉過的角度,即各切點均布在極孔圓周上;前一個完整循環與相繼的后一個完整循環所對應的紗片,在筒身段應錯開一個紗片寬度距離。
![]() b.芯模轉角(即纏繞中心角)與線型關系。用θ表示一個完整循環纏繞的芯模轉角。繞絲嘴往返一次,芯模轉角用θn表示,繞絲嘴走完一個單程,芯模轉角用久表示,則
θn=2θt=θ/n (3-5)
不同切點線型的芯模轉角θn不同。
單切點芯模轉角θ1至少為360°±△θ,或者再加上360°的整數倍。即
θ1=(1+N)360°±△θ
式中,△θ為微小增量,由紗片寬度決定。
兩切點線型的θ2為360°/2±△θ,或再加上360°的整數倍,即
![]() 兩切點為一個完整循環中繞絲嘴往返兩次,錯過一個/X0,繞絲嘴往返一次時,則錯開△θ/2。以此類推,其他切點的芯模轉角:
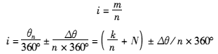
![]() 當n≥3時,各切點位置排布順序與時序并不一致,如圖3-15所示。因此
![]() 式中,k為正整數,k/n為最簡真分數,(k/n+N)值表示不同線型,它代表某特定標準線,△α/n表示芯模轉角微調量,它保證紗片既不離縫,又不重疊。
②轉速比和線型關系
a.轉速比 單位時間內,芯模轉數m與繞絲嘴往返次數n之比,稱為轉速比,即完成一個完整纏繞循環,芯模轉數與繞絲嘴往返次數之比。即
![]() 式中 i———實際轉速比;
m——一個完整循環的芯模轉數;
△θ———芯模轉角增量(微調量);
n——一個完整循環中,繞絲嘴往返數(即切點數)。
b.轉速比與線型關系 線型是指纖維在芯模表面的排布形式,而轉速比是芯模與繞絲嘴相對運動的關系。它們是全然不同的概念,但是不同線型嚴格對應著不同的轉速比i,所以我們認為線型△S0在數值上等于轉速比。
I=S0
四、纏繞成型工藝及參數選擇
纏繞成型工藝通常分為于法和濕法及半于法三種,選擇成型方法時,要根據制品設計要求、設備條件、原材料性能及制品批量大小等因素綜合考慮后確定。
纏繞成型工藝設計內容包括:
①根據設計要求,技術質量指標,進行纏繞線型和芯模設計;
②選擇原材料;
③根據產品強度要求,原材料性能及纏繞線型進行層數計算;
④根據選定的工藝方法,制定工藝流程及工藝參數;
⑤根據纏繞線型選擇纏繞設備。
纏繞成型中的主要工藝參數是:纖維烘于處理溫度及時間、浸膠方式及含膠量、膠紗烘干溫度及時間、纏繞張力、纏繞規律、固化制度、脫模方法及脫模力等。
(1)纖維處理 纏繞成型用的玻璃纖維一般都選用Tex1200、Tex12400和Tex14800纏繞專用紗,這種纏繞用玻璃纖維粗紗都是采用增強型浸潤劑,但使用前應進行烘干,除去存放中纖維表面吸附的水分。芳綸纖維的烘干處理時間應更長些。
纖維烘于處理制度視其含水量和紗筒大小而定,一般用的玻璃纖維無捻粗紗是在60~80℃溫度下烘干24h,用烘干紗纏繞的制品強度比未經烘干紗的強度高4%。
(2)浸膠和含膠量 含膠量對制品的性能影響很大,表現在:
①影響制品的質量和厚度;
②含膠量過高能使制品強度降低,氣密性提高;
③含膠量過低會使制品中空隙率增加,氣密性、耐老化性及剪切強度下降。
在浸膠過程中,必須嚴格控制纖維紗的含膠量,保證整個纏繞過程前后含膠量均勻。纏繞制品的結構層含膠量,一般控制在17%~25%,而以20%為最佳。
浸膠過程影響含膠量的因素很多,如膠液黏度、纏繞張力和浸漬時間等。溫度對膠液黏度影響很大,因此應在浸膠槽上裝設恒溫水浴,水浴溫度高低要視樹脂種類而定。一般控制在20~40℃范圍。
為了保證纖維紗被樹脂浸透、含膠量均勻以及紗片中盡量不含氣泡,膠液的黏度應控制在0.35~1.0Pa·s范圍之內。加熱或加入稀釋劑,都可以達到降低黏度的目的,但同時也會帶來一定的負作用,必須選擇得當。
![]() 浸膠方式主要有兩種:①沉浸式浸膠(見圖3-18);②表面帶膠式浸膠(見圖3-19)。沉浸式浸膠是通過調整擠膠輥來控制膠含量。帶膠式浸膠則是通過調節刮刀間隙來控制含膠量。
(3)纏繞張力 纏繞張力是指在纏繞過程中,纖維所受的張緊力。張力大小、各束纖維中的張力均勻性,以及各纏繞層之間纖維的張力均勻性,對制品質量影響很大。
![]() 纏繞張力的大小,可通過計算確定,根據經驗,一般初張力可按纖維強度的5%~10%選取。張力過小,纖維取向不佳,制品不致密,與內襯粘接不牢,同時還會使制品強度和耐疲勞性能降低。張力過大,纖維在纏繞過程中磨損增大,同樣會使制品強度降低。
各纖維束之間的張力均勻性對制品力學性能影響很大,各束纖維束受到的張力越不均勻,制品的強度降低越大。因此,在纏繞過程中,要盡量保持纖維束間和纖維束內各股紗的張力均勻。選用無捻或低捻纏繞纖維紗,保持紗片內各纖維平行,是保證纖維張力均勻的有效方法之一。
各纖維層間張力對制品的力學性能亦有影響。如果纏繞張力始終保持一致,則會使制品各纏繞層之間出現內松外緊現象,使內層纖維張力降低,甚至松弛,造成纖維皺褶。固化后,纖維初始應力不均勻狀態會大大降低制品強度和疲勞性能。
為了避免出現內松外緊現象,可以采用逐層纖維張力遞減的方法,盡可能使各層纖維在纏繞完成后所受的張力相等。纖維纏繞時的張力遞減值可以通過計算確定,根據經驗,一般取每層遞減5~10N。每層遞減比較麻煩,可簡化為每2~3層遞減一次,遞減值等于逐層遞減之和。實踐證明,采用纏繞張力遞減法制成的容器爆破強度比未采用張力遞減法的容器高10%以上。施加張力的方法,對干法纏繞是通過紗團轉動的摩擦阻力,對于濕法纏繞,則是通過纖維浸膠的張力輥施加,張力輥的直徑應大于50mm。
![]() (4)纏繞速度 紗帶纏繞到芯模上的線速度稱為纏繞速度,它反映纏繞過程的生產率。纏繞速度由芯模旋轉和繞絲嘴運動線速度決定,其關系如圖3-20所示。在濕法纏繞中,纏繞速度受到浸膠時間和設備能力限制,纏繞速度過快,纖維浸膠時間短,不易浸透,纏繞速度慢,則生產率低。在濕法生產過程中,纏繞速度最大不能超過0.9m/s。
(5)固化制度 纏繞成型的固化工藝分加熱固化和常溫固化兩種。不論是采用哪一種固化方法,制品在固化過程中均需緩慢轉動,以保證制品受熱均勻和防止流膠。
纏繞成型聚酯玻璃鋼用大型容器(如直徑為2~4m),建議采用常溫固化。
酚醛環氧樹脂纏繞制品,或大批量生產的制品,則需要選用加熱固化,這是因為加熱固化能保證產品質量,提高模具周轉率和降低成本。
對于厚壁纏繞制品,應采用分層纏繞固化法。此法是在模具上纏繞一定厚度后,使其固化,冷卻至室溫,打磨再纏繞第二層,依次循環,直至達到設計厚度。分層纏繞固化的優點是:纖維位置及時得到固定,不致發生皺折和松散;樹脂不易在層間滲透,提高容器內外層質量均勻性。分層固化的缺點是:工藝復雜,能耗較大。 環氧樹脂 - www.ytfilter.com -(責任編輯:admin) |














