(二)對接接頭拉伸強度的測定
環氧膠黏劑對接接頭拉伸強度的測定執行GB/T 6329-1996標準。
(1)原理試樣接頭由兩根方的或圓的棒狀被粘物對接構成,其膠接面垂直于試樣的縱軸,拉伸力通過試樣縱軸傳至膠接面直至試樣破壞。以試樣破壞時的載荷為試驗結果。
(2)儀器設備
a.拉力機應使試樣破壞載荷在拉力機滿量程的10%~90%。拉力機的響應時間應短至不影響測量精度,應能測得試樣斷裂時的破壞載荷。拉力機的測量誤差不大于1%。拉力機應能恒速地增加載荷。拉力機備有能自動校直的夾持器,加載后,夾持器應能帶著試樣沿直線位移,試樣的縱軸與通過夾持器中心線的載荷方向一致。
注意:若拉力機的加載速度沒有恒載荷加載方式,也可以采用夾持器恒位移方式。
b.膠接時為保證試棒準確定位,應使用夾具。夾具如圖9-5所示。在圖9-5所示的夾具上,按能使試棒中膠黏劑位于凹槽上方的定位要求,固定B端。
![]() 按使彈簧能對試棒產生需要的壓力,固定A端。
用蝶形螺母松開壓力墊塊,放入試棒,旋轉蝶形螺母讓彈簧壓力作用在接頭上。
(2)試樣
①試棒
a.在膠黏劑對比試驗和實驗室之間對比試驗時,兩個試棒應是同一種材料,且具有一定的強度,不產生明顯的變形。用于其他目的試驗時,兩個試棒可以為不同材料。
b.除非另有規定,試棒尺寸應符合以下規定:
(Ⅰ)圓試棒直徑為10mm、15mm、25mm或50mm。方試棒邊長為10mm、15mm、25mm或50mm。上述尺寸的誤差范圍均為±0.1mm。
(Ⅱ)直徑或邊長為25mm、50mm的試棒,長度為50mm,直徑或邊長為10mm、15mm的試棒,長度為直徑或邊長的3倍。
c.試棒的膠接面應為平面,并與試棒的縱軸垂直,試棒上與膠接面相對的另一端應有銷孔,可與拉力機的夾持器連接。
d.膠接前試棒的表面處理應按膠黏劑產品標準或有關雙方協議規定進行。
②接頭尺寸按以下要求選擇接頭尺寸:
a.待測膠黏劑的強度;
b.拉力機的滿量程;
c.試棒材料特性;
d.試棒所處試驗環境。
③膠接 按膠黏劑產品標準或有關雙方協儀,完成涂膠和膠接。若無規定,所采取的工藝條件應獲得最佳膠接。在任何情況下,試樣膠接都應使用夾具,使試棒準確定位。
膠接接頭應使用足量的膠黏劑,并使接頭周圍略有余膠,避免出現欠膠接頭。溢膠通常不必清除。如果一定要清除時,也必須在固化前進行。固化時間結束后,試樣應在沒有壓力的條件下,按試驗環境和調節(4)規定再停放一段時間。
④試樣數量 如果沒有特殊規定,試樣個數不應少于5個,并足以提供5個有效試驗結果。或按膠黏劑產品標準的規定。
(4)試驗環境和調節在標準溫度和標準濕度條件下,制備、儲存膠接試棒,調節試樣和進行試驗。當沒有特殊要求時,建議按GB 2981推薦的在(23±2)℃和(50±5)%相對濕度下進行。
(5)步驟
①把試樣對稱地固定在拉力機夾持器上,開動拉力機,以恒載荷加載或夾持器恒位移方式拉伸試樣,試樣均在(60±20)s內破壞。
在試驗的開始和結束時,應力一應變曲線會表現出非線性,在試驗過程中,拉力機應保持相同的工作狀態。
如果不能確定被測試樣的加載速度,應做預先試驗,以確定合適的加載速度。
②記錄破壞時的最大力值作為試樣的破壞載荷。凡試樣出現欠膠或試棒斷裂,但破壞載荷達到了膠黏劑產品標準規定的最低值,試驗結果有效,否則無效。
③記錄每個試樣的破壞類型:
a.膠黏劑的內聚破壞;
b.膠黏劑與試棒界面之間的黏附破壞;
c.靠近試棒和膠黏劑界面處的試棒內聚破壞。
(6)結果表示 除非膠黏劑產品標準中另有規定,應以5個有效試驗結果的破壞載荷算術平均值表示。
拉伸強度測定的美國標準有ASTM D897-01、ASTM D2095-96。
(三)不均勻扯離強度的測定
金屬對金屬由1個剛性零件和1個相對柔性的零件構成的粘接接頭,2個剛性零件與相對柔性的膠黏劑構成的接頭或2個柔性零件粘接構成的接頭,在整個粘接面上形成不均勻的拉應力,負荷多集中于膠層的兩個邊緣或一個邊緣。這種粘接強度由于測試方法的不同分別稱之為不均勻扯離強度或剝離強度。
不均勻扯離強度國外已有多種測試方法。國內目前廣泛使用的一種試樣如圖9-6所示。
![]() 用這種方法可以比較各種膠黏劑的特性,一般不均勻扯離強度高,膠黏劑的韌性就較好,該法還可以確定粘接結構的相對使用特性,一般來說,這種受力情況比較惡劣,使用時應盡量避免。測定不均勻扯離強度用夾具見圖9-7。測定時除去余膠,精確測定膠接寬度b,然后將試樣固定在夾具上,并使試樣中心與夾具中心線重合,固定試樣夾距中心線各為100mm,然后以10mm/min的速度加載直至破壞。按下式計算不均勻扯離強度:
![]() ![]() 式中 σB———不均勻扯離強度,kN/m;
P———破壞負荷,N;
b———試樣寬度,cm,一般標準為3cm。
(四)膠黏劑T形剝離強度的測定
環氧膠黏劑T形剝離強度的測定(撓性材料對撓性材料)執行GB/T 2791-1995標準。
(1)原理撓性材料對撓性材料粘接的T形剝離試驗是在試樣的未粘接端施加剝離力,使試樣沿著粘接線產生剝離,所施加的力與粘接線之間角度可不必控制。
(2)裝置
a.拉伸試驗裝置具有適宜的負荷范圍,夾頭為能以恒定的速率分離并施加拉伸力的裝置。該裝置應配備有力的測量系統和指示記錄系統。力的示值誤差不超過2%,整個裝置的響應時間應足夠的短,以不影響測量的準確性為宜,即當膠接試樣破壞時,所施加的力能被測量到。試樣的破壞負荷應處于滿標負荷的10%~80%之間。
b.夾頭 夾頭能牢固地夾住試樣[見圖9-8(b)]。
![]() (3)試樣
a.被粘材料撓性材料的厚度要以能承受預計的拉伸力為宜,厚度要均勻,不超過3mm,并能承受剝離彎曲角度而不產生裂縫。其尺寸要精確地測量并寫入試驗報告。
除另有規定外,試樣長200mm,寬(25±0.5)mm[見圖9-8(a)]。
b.試樣制備按膠黏劑的產品說明書進行試樣的表面處理和使用膠黏劑。在每塊被粘試片的整個寬度上涂膠,涂膠長度為150mm。
得到邊緣清晰的粘接面的適宜方法是在被粘材料將被分離的一端放一片薄條狀材料(防粘帶),使不需要黏合的部分試片不被膠黏劑粘住。
按膠黏劑制造者推薦的方法粘接被粘試片并使膠黏劑固化。
制備試樣如需加壓,應在整個粘接面上施加均勻的壓力,推薦施加壓力可達0.1MPa。最好配備有定時撤壓裝置。為了在整個粘接面上得到均勻的壓力分布,壓機平板應是平行的,如做不到就應當在壓機平板上覆蓋一塊有彈性的墊片。墊片厚度為10mm,硬度(邵爾A)約為45,此時建議施加壓力可達0.7MPa。
試樣制備的另一方法是將兩塊尺寸適宜的板材粘接成擴大試樣件,然后將試樣從擴大試樣件上切下,切下時應盡可能減少切削熱及機械力對粘接縫的影響,必須除去擴大試樣件上平行于試樣長邊的最外面12mm寬的狹條部分。
測定試樣膠黏劑層的平均厚度。
c.試樣的數目 每個批號試樣的數目不少于5個。
(4)狀態調節和試驗環境試樣應在GB 2918中規定的標準環境中進行狀態調節和試驗。試樣進行狀態調節的時間不應少于2h。
(5)試驗步驟 將撓性試片未粘接一端分開,按圖9-8(b)所示對稱地夾在上、下夾持器中。夾持部位不能滑移,以保證所施加的拉力均勻地分布在試樣的寬度上。開動試驗機,使上、下夾持器以(100±10)mm/min的速率分離。
試樣剝離長度至少要有125mm,記錄裝置同時繪出剝離負荷曲線。并注意破壞的形式,即黏附破壞、內聚破壞或被粘物破壞。
(6)試驗結果處理對于每個試樣,從剝離力和剝離長度的關系曲線上測定平均剝離力,以N為單位。計算剝離力的剝離長度至少要100mm,但不包括最初的25mm。可以劃一條估計的等高線(見圖9-9),或用測面積法來得到平均剝離力。如果需更準確的結果,還可以使用其他適當的方法。
![]() 記錄下在這至少100mm剝離長度內的剝離力的最大值和最小值,計算相應的剝離強度值。
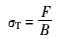
![]() 式中 σT———剝離強度,kN/m;
F———剝離力,N;
B———試樣寬度,mm。
計算所有試驗試樣的平均剝離強度、最小剝離強度和最大剝離強度。
如有需要,發生在所規定的剝離長度以外的最初的峰值,可以單獨記錄下來,以后在試驗報告中指出,但不能列入求平均值的過程中。
(五)膠黏劑180°剝離強度的測定
撓性材料對剛性材料180°剝離強度的測定執行GB/T 2790-1995標準。
(1)原理兩種被粘材料用膠黏劑制成粘接試樣,然后將粘接試樣以規定的速度從粘接的開口處剝開,兩種被粘物沿著被粘面長度的方向逐漸分離。通過撓性被粘物所施加的剝離力基本上平行于粘接面。
(2)裝置
a.拉伸試驗裝置具有適宜的負荷范圍,夾頭能以恒定的速度分離并施加拉伸力。該裝置應配備有力的測量系統和指示記錄系統,力的示值誤差不超過2%。整個裝置的響應時間應足夠的短,以不影響測量的準確性為宜,即當粘接試樣被破壞時,所施加的力能被測量出來。試樣的破壞負荷應處于滿標負荷的10%~80%之間。
b.夾頭 夾頭之一能牢固地夾住剛性被粘物[見(3)試樣①a],并使粘接面平行于所施加的力。另一個夾頭如圖9-10所示,能固定住撓性被粘物[見(3)試樣①b],此夾頭是自校準型的,因此施加的力平行于粘接面,并與拉伸試驗裝置的傳感器相聯。
![]() (3)試樣
①被粘材料被粘材料的厚度要以能經受住所預計的拉伸力為宜,其尺寸要精確地測量。
被粘試片的厚度由膠黏劑供需方約定,推薦被粘試片的厚度是:金屬1.5mm;塑料1.5mm;木材3mm;硫化膠2mm。撓性被粘試片的厚度與類型對試驗結果影響較大,必須加以記錄,當被粘試片厚度大于1mm時,厚度測量精確到0.1mm;當被粘試片厚度小于1mm時,厚度測量精確到0.01mm。
a.剛性被粘試片 剛性被粘試片寬為(25.0~0.5)mm,除非另有規定,長為200mm以上的長條。
b.撓性被粘試片撓性被粘材料能彎曲180°而無嚴重的不可回復的變形。除非另有規定,撓性被粘試片的長度不小于350mm。
它的寬度為:邊緣不磨損材料與剛性被粘試片的寬度相同;邊緣易磨損材料,如棉帆布,試片兩邊比剛4性被粘試片各寬5mm。
撓性被粘試片在制作時可能引起困難,并且由于試樣制作和試驗期間的撓曲或擺動破損使試驗結果的偏差增大。將撓性被粘試片設計成比剛性被粘試片兩邊各寬5mm可以降低上述效應。
②試樣制備按膠黏劑的產品說明書進行試樣的表面處理和使用膠黏劑。在每種被粘試片的整個寬度上涂膠,涂膠長度為150mm。
得到邊緣清晰的粘接面的適宜方法是:在被粘材料將被分離的一端放一片薄條狀材料(防粘帶),使不需黏合的部分試片不被膠黏劑粘住(見圖9-10中抗膠粘的狹條)。
按膠黏劑制造者推薦的方法粘接被粘試片,并使膠黏劑固化。
制備試樣如需加壓,應在整個粘接面上施加均勻的壓力,推薦施加壓力可達1MPa。最好配備有定時撤壓裝置。為了在整個粘接面上得到均勻的壓力分布,壓機平板應是平行的。如做不到,就應當在壓機平板上覆蓋一塊有彈性的墊片,此墊片厚度約為10mm,硬度(邵爾A)約為45度,此時建議施加壓力可達0.7MPa。
試樣制備的另一方法是,將兩塊尺寸適宜的板材粘接成擴大試樣件,然后再將試樣從擴大試樣件上切下。切下時應盡可能減少切削熱及機械力對粘接縫的影響。必須去除擴大試樣件上平行于試樣長邊的最外面的12mm寬的狹條部分。
測定試樣膠黏劑層的平均厚度。
③試樣的數量每個批號試樣的數量不少于5個。
(4)狀態調節和試驗環境 試樣應在GB 2918中規定的標準環境中進行狀態調節和試驗。試樣進行狀態調節的時間不少于2h。
(5)試驗步驟 將撓性被粘試片的未粘接的一端彎曲180°,將剛性被粘試片夾緊在固定的夾頭上,而將撓性試片夾緊在另一夾頭上。注意使夾頭間試樣準確定位,以保證所施加的拉力均勻地分布在試樣的寬度上(見圖9-10)。開動機器,使上下夾頭以恒定的速度分離。
夾頭的分離速度為(100±10)mm/min。采用其他速度由膠黏劑供需雙方約定。
記下夾頭的分離速度和當夾頭分離運行時所受到的力,最好是自動記錄。繼續試驗,直到至少有125mm的粘接長度被剝離。注意粘接破壞的類型,即黏附破壞、內聚破壞或被粘物破壞。
在剝離過程中,剝開的撓性部分有時會在粘接部分上蹭過去,為了減少摩擦,可使用適當的潤滑劑,如甘油或肥皂水,只要它不影響被粘物。
(6)試驗結果處理對于每個試樣,從剝離力和剝離長度的關系曲線上測定平均剝離力,以N為單位。計算剝離力的剝離長度至少要100mm,但不包括最初的25mm,可以劃一條估計的等高線(見圖9-11)或用測面積法來得平均剝離力。如果需要更準確的結果,還可以使用其他適當的方法。
記錄下在這至少100mm剝離長度內的剝離力的最大值和最小值,計算相應的剝離強度值。
![]() 式中 σ180°———180°剝離強度,kN/m;
F———剝離力,N;
B———試樣寬度,mm。
![]() 計算所有試驗試樣的平均剝離強度、最小剝離強度和最大剝離強度,以及它們的算術平均值。
如有需要,發生在所規定的剝離長度以外的最初的峰值,可以單獨記錄下來,以后在試驗報告上指出,但不能列入求平均值的過程中。
(六)高強度膠黏劑剝離強度的測定
高強度膠黏劑剝離強度的測定(浮輥法)執行GB/T 7122-1996國家標準。相當于國外標準ASTM D3167-97。
(1)定義剝離強度定義為在規定的試驗條件下,測量兩個相互膠接的金屬被粘物的試樣沿著膠接線逐漸分離的單位寬度上所需的平均力,以kN/m表示。
(2)裝置
a.拉伸試驗裝置 拉伸試驗裝置應具有適宜的負荷范圍,夾頭能以恒定的速率分離并施加拉伸力。該裝置應配備有效的測量系統和指示記錄系統,力值精確至±2%。該裝置應配置適當的自校準型夾頭,夾頭應能牢固地夾在撓性被粘物外端部25mm處。夾頭和剝離試驗夾具應能在受力時與試樣同時移動校直,以便試樣中的撓性體與通過剝離夾具裝置中心線所施加的拉力的方向一致。所有裝置應定期校驗,推薦用無慣性拉伸試驗裝置進行此項試驗。
b.剝離試驗夾具支承試樣的夾具如圖9-12所示。夾具上端與試驗機上夾頭相聯。剝離試驗夾具上輥軸的直徑為25mm。輥軸兩端應由軸承組成,并可自由轉動。
(3)試樣
a.試樣尺寸見圖9-13。試樣可單獨制備或從試板上切取。試板與單個試樣均由兩塊被粘物經適當處理后(見(3)試樣b)膠接在一起組成。
b.要進行表面處理以獲得膠接件最佳強度。表面處理可按膠黏劑制造者的說明書進行,并在試驗報告中說明。應按膠黏劑制造者推薦的方法使用膠黏劑,以便獲得最佳的膠接效果并且偏差最小。
只有當試樣的結構、被粘物的材料與尺寸及試驗條件都相同時,才能對不同的膠黏劑進行直接對比。
![]() ![]() c.撓性被粘物的厚度為0.5mm±0.02mm;剛性被粘物的厚度為2.0mm±0.1mm。
d.試樣如從膠接試板(見圖9-13)上切下時,應盡可能減少切削熱及機械力對試驗結果的影響。
試樣寬度為:25mm(優選寬度);試驗裝置可以采用的其他合適的寬度。并在試驗報告中注明。
切取試樣的方法取決于被粘物和膠黏劑的成分,所規定的偏差見圖9-13,銑和鋸是兩種通常采用的方法。
e.撓性被粘物的未膠接端應能彎曲至垂直于剛性被粘物,以便試驗機的夾頭夾牢。
f.試樣的數量除非另有規定,每組試樣的數量不少于5個。
(4)狀態調節和試驗環境試樣應在GB 2918中規定的標準環境中進行狀態調節和試驗。試樣進行狀態調節的時間不少于0.5h。
(5)試驗步驟
a.把試樣插入剝離夾具[見(2)裝置b]中,如圖9-12所示。將撓性被粘物未膠接的端部夾入試驗機的下夾頭[見(2)裝置a]中。除另有規定外,夾頭的分離速率為100mm/min±5mm/min。如果試驗過程中剛性被粘物彎曲或變形,建議重新設計試樣,使剛性被粘物有足夠剛度以保證剝離試驗順利進行。
b.剝離試驗中,自動記錄力與試驗機夾頭移動距離的關系曲線(力與剝離長度的關系曲線)。不計最初剝開的25mm的長度,至少要剝開115mm的長度。
c.如果破壞發生在圖9-12所表示的剝離區域外,則結果不計。
(6)試驗結果處理從自動記錄曲線中,在有效剝離長度至少為115mm(除去首先被剝開的25mm和末端的20mm)的范圍內,算出試樣單位寬度的平均剝離力,用kN/m表示。
從曲線中測定平均剝離力可采用下列方法中的一種。
a.求積儀。
b.稱量法:從記錄紙上剪下剝離曲線和基線(橫坐標)所圍繞的部分并稱出質量,用此值除以事先測得的每單位面積記錄紙的質量,得出剪下部分的面積。用剪下部分的面積去除以剪下部分的基線長度就可得出曲線的平均高度,以此計算出平均剝離力。
c.用直尺劃一條通過剝離曲線的估計的等高線。
此外還要記錄每個試樣的最大和最小剝離力。 環氧樹脂 - www.ytfilter.com -(責任編輯:admin) |












